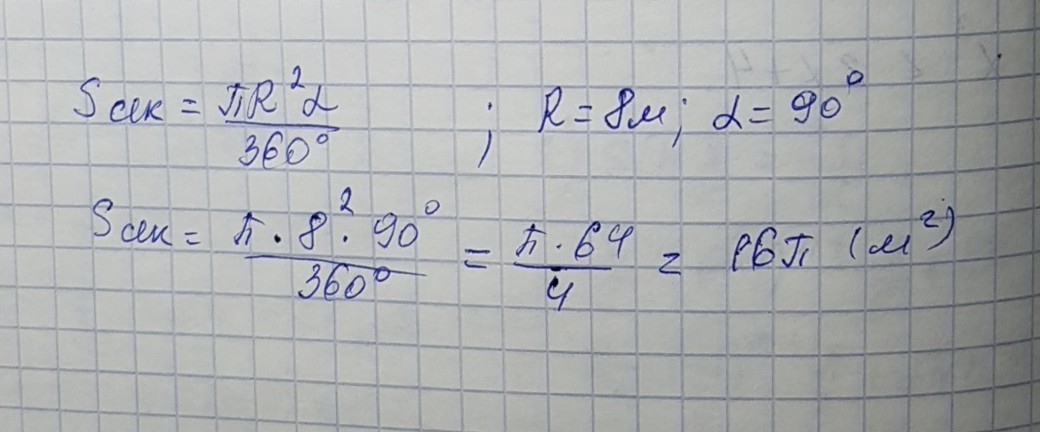
Вычислите площадь кругового сектора, если радиус круга 8м, а соответствующий центральный угол равен 90 градусов .
Ответы
Ответ дал:
0
решение задания смотри на фотографии
Приложения:
Вас заинтересует
2 года назад
7 лет назад
7 лет назад
10 лет назад
10 лет назад
10 лет назад
10 лет назад