Ответы
Ответ дал:
0
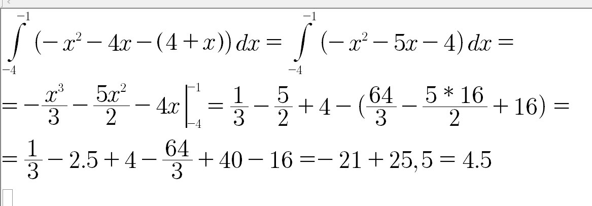
см фото
=============================
=============================
Приложения:


Вас заинтересует
2 года назад
7 лет назад
10 лет назад