Ответы
Ответ дал:
0
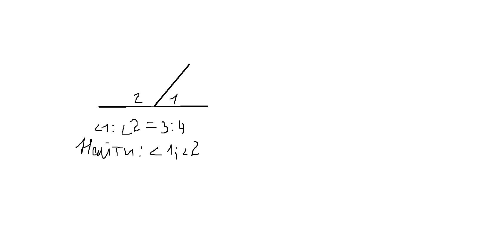
угол1=3х
угол2=4х
Имеем уравнение:
3х+4х=180°
7х=180°
х=25.7
Выходит: угол1 -- 3*25.7= 77°
угол2 -- 4*25.7= 103°
угол2=4х
Имеем уравнение:
3х+4х=180°
7х=180°
х=25.7
Выходит: угол1 -- 3*25.7= 77°
угол2 -- 4*25.7= 103°
Ответ дал:
0
я округлила
Вас заинтересует
2 года назад
2 года назад
10 лет назад
10 лет назад
10 лет назад