Ответы
Ответ дал:
0
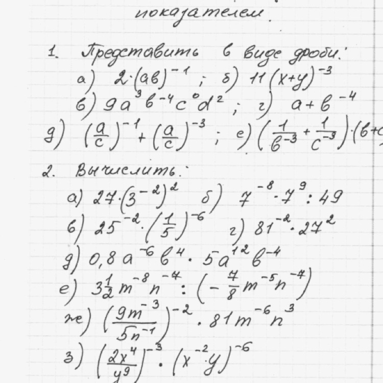
1. а)2/(ab);
б) 11/(x+y)^3;
в) 9*(а^3)*(с^не видно каком)*(d^2)/(b^4);
г) а+1/(b^4)= (a*(b^4)+1)/(b^4);
д) с/а+(c^3)/(a^3)=(c*(a^2)+(c^3))/(a^3);
е) (b³+c³)/(b+c) там степень не видно, но без минуса.
2.а) ⅓;
б)1/7;
в) 625;
г) 1/9;
д) 4а^6;
e)-4m^-3;
ж) 25n^5;
з) (y^21)/(8x^14).
б) 11/(x+y)^3;
в) 9*(а^3)*(с^не видно каком)*(d^2)/(b^4);
г) а+1/(b^4)= (a*(b^4)+1)/(b^4);
д) с/а+(c^3)/(a^3)=(c*(a^2)+(c^3))/(a^3);
е) (b³+c³)/(b+c) там степень не видно, но без минуса.
2.а) ⅓;
б)1/7;
в) 625;
г) 1/9;
д) 4а^6;
e)-4m^-3;
ж) 25n^5;
з) (y^21)/(8x^14).
Вас заинтересует
2 года назад
2 года назад
7 лет назад
7 лет назад
10 лет назад
10 лет назад
10 лет назад