• Предмет: Алгебра
  • Автор: SBT
  • Вопрос задан 9 лет назад

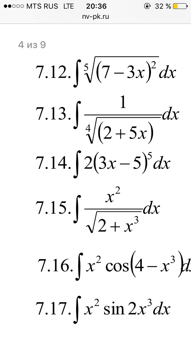
Помогите решить 7.3 и 7.14 даю 30 баллов

Приложения:

Ответы

Ответ дал: NNNLLL54
0
7.3); ; int  frac{dx}{sqrt[4]{(1-4x)^3}} =int (1-4x)^{-frac{3}{4}}cdot dx=\\=[; t=1-4x; ,; dt=-4cdot dx; ]=- frac{1}{4} cdot int , t^{-frac{3}{4}}cdot dt=\\=- frac{1}{4} cdot  frac{t^{frac{1}{4}}}{frac{1}{4}} +C=-sqrt[4]{1-4x}+C

7.14); ; int  2(3x-5)^5cdot dx=[; t=3x-5; ,; dt=3cdot dx; ]=\\=frac{2}{3}int t^5, dt=frac{2}{4} cdot frac{t^6}{6} +C= frac{1}{12}cdot (3x-5)^6+C
Вас заинтересует