• Предмет: Геометрия
  • Автор: IRKA89
  • Вопрос задан 11 лет назад

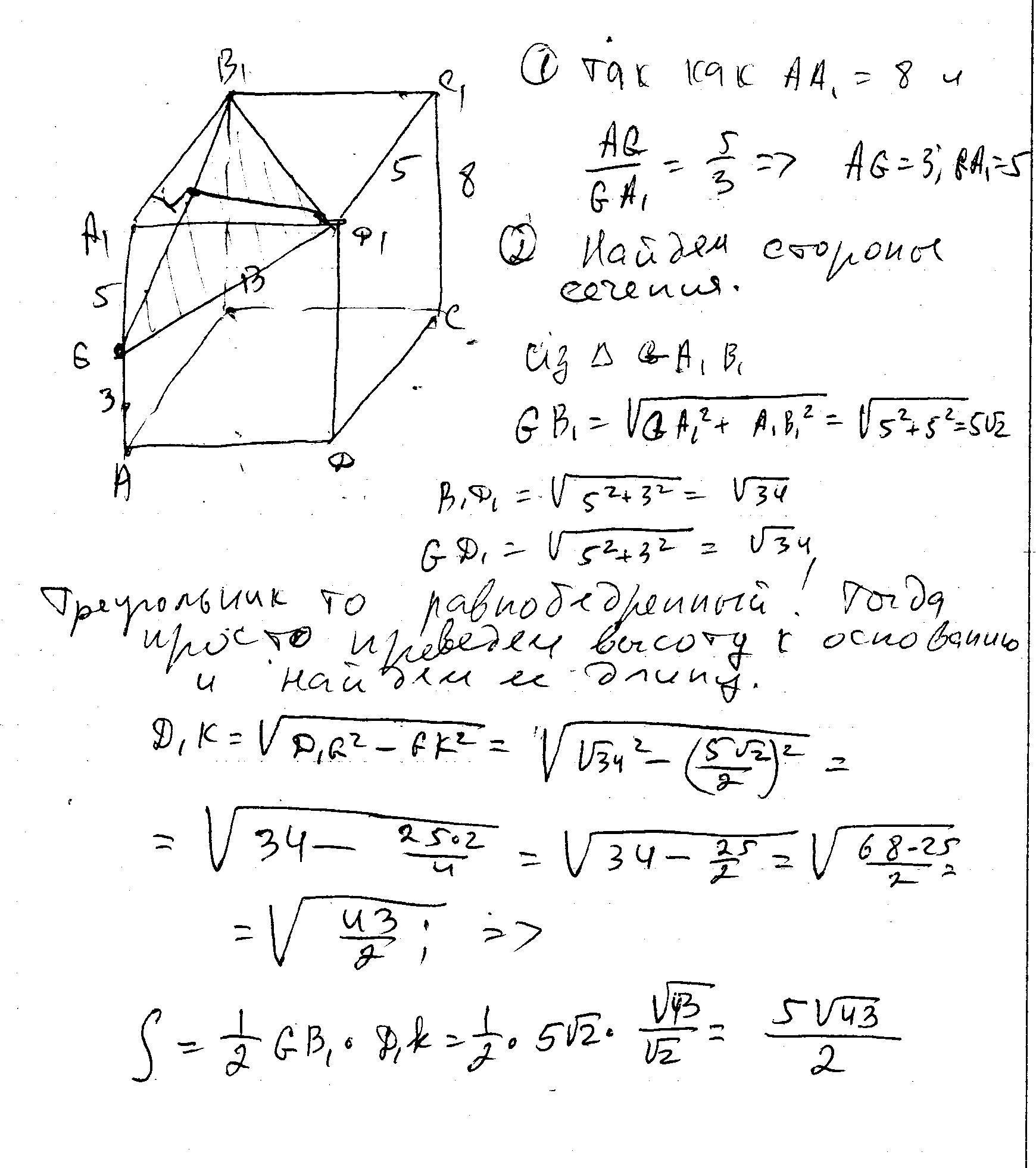
в прямоугольном параллелепипеде abcda1b1c1d1 известны ребра аB =5 AD = 3 АА 1= 8 Точка G принадлежит ребру АА1 и делит его в соотношении 3: 5, считая от вершины А. Найдите площадь сечения проходящего через точки B1 G  D1.

Ответы

Ответ дал: ужнеужели
0
в прямоугольном параллелепипеде abcda1b1c1d1 известны ребра аB =5 AD = 3 АА 1= 8 Точка G принадлежит ребру АА1 и делит его в соотношении 3: 5, считая от вершины А. Найдите площадь сечения проходящего через точки B1 G  D1.
Приложения:
Вас заинтересует