• Предмет: Химия
  • Автор: coolvikusa46
  • Вопрос задан 9 лет назад

Решите пожалуйста
Рассчитайте массовые доли металлов в медном блеске и боксите

Ответы

Ответ дал: znanya25
0
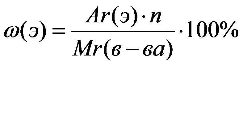
медный блеск:массовая доля меди=80%
боксит: массовая доля алюминия=40%
пояснение к картинке: n-кол-во атомов этого элемента в молекуле
Приложения:
Ответ дал: znanya25
0
КОЛИЧЕСТВО АТОМОВ ЭТОГО ЭЛЕМЕНТА*МОЛЕКУЛЯРНУЮ МАССУ ЭЛЕМЕНТА/МОЛЯРНУЮ МАССУ ВСЕЙ МОЛЕКУЛЫ И ПОТОМ УМНОЖИТЬ НА 100%
Ответ дал: znanya25
0
прикрепила
Вас заинтересует