Ответы
Ответ дал:
0
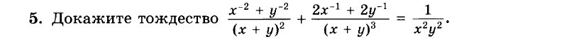
Докажите тождество

Доказательство
Произведем преобразование каждой дроби в левой части уравнения


Находим сумму в левой части

Тождество доказано
Доказательство
Произведем преобразование каждой дроби в левой части уравнения
Находим сумму в левой части
Тождество доказано
Вас заинтересует
3 года назад
3 года назад
7 лет назад
7 лет назад
10 лет назад
10 лет назад
10 лет назад