• Предмет: Алгебра
  • Автор: Умница2003
  • Вопрос задан 9 лет назад

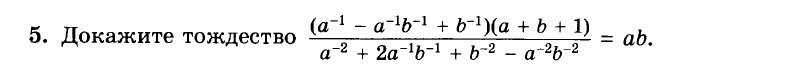
докажите тождество, помогите пожалуйста

Приложения:

Ответы

Ответ дал: kmike21
0
 frac{(a^{-1}-a^{-1}b^{-1}+b^{-1})(a+b+1)}{a^{-2}+2a^{-1}b^{-1}+b^{-2}-a^{-2}b^{-2}} = frac{(a^{-1}-a^{-1}b^{-1}+b^{-1})(a+b+1)}{(a^{-1}+b^{-1})^2-(a^{-1}b^{-1})^2}= \ =frac{(a^{-1}-a^{-1}b^{-1}+b^{-1})(a+b+1)}{(a^{-1}+b^{-1}-a^{-1}b^{-1})(a^{-1}+b^{-1}+a^{-1}b^{-1})}=frac{a+b+1}{a^{-1}+b^{-1}+a^{-1}b^{-1}}= \ =frac{a+b+1}{a^{-1}b^{-1}(b+a+1)}=frac{1}{a^{-1}b^{-1}}=ab
Вас заинтересует