• Предмет: Математика
  • Автор: Julia040
  • Вопрос задан 9 лет назад

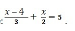
Помогите пожалуйста с уравнением, очень срочно нужно

Приложения:

Ответа на этот вопрос пока нет. Попробуйте найти его через форму поиска.

Вас заинтересует