Ответы
Ответ дал:
0
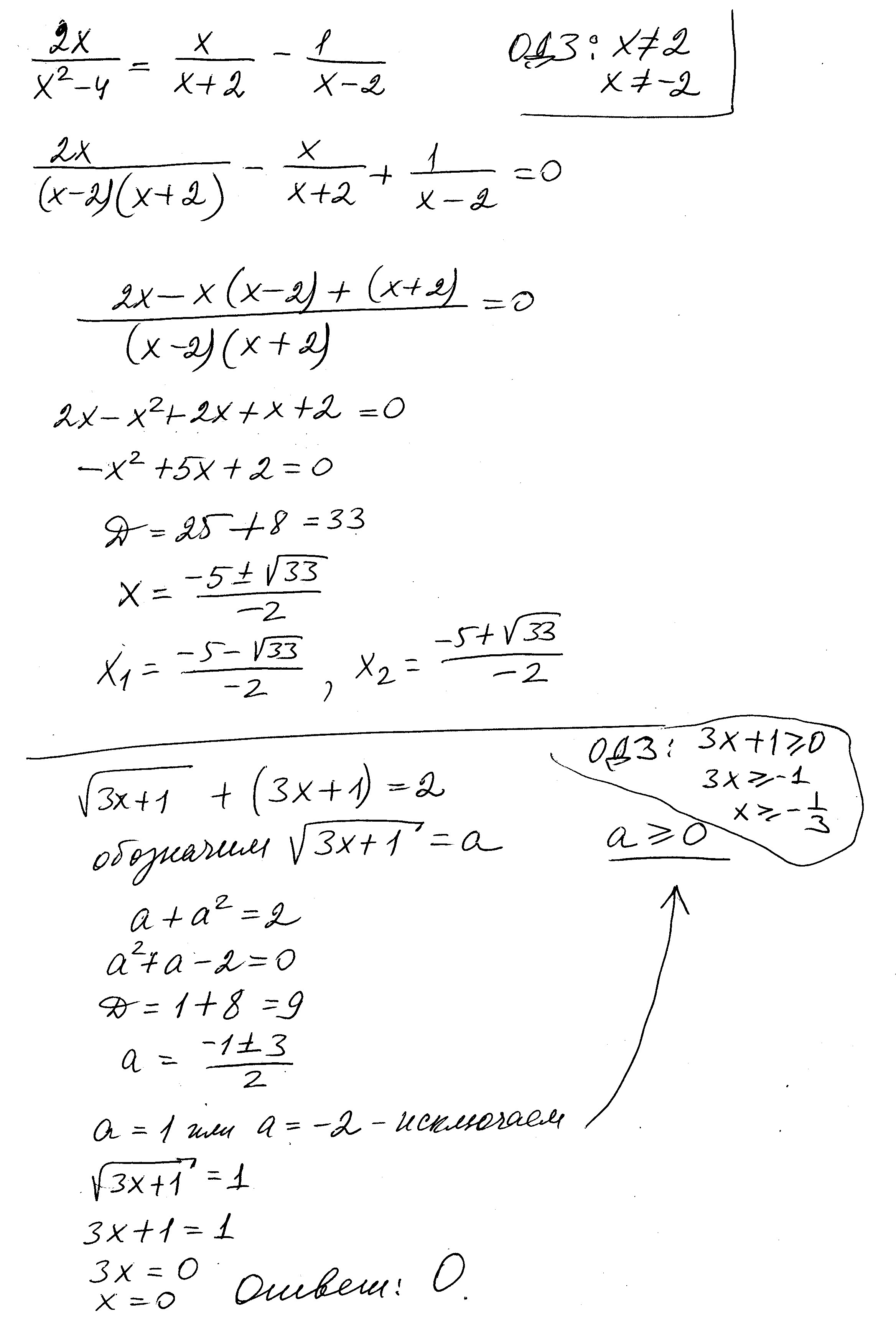
решение во вложенном файле (ОДЗ приписала во втором), на результат не повлияло, но для порядка надо обязательно про ОДЗ помнить
Приложения:

Ответ дал:
0
помоги ещё пожалуйста вот ссылка https://znanija.com/task/24167780
Ответ дал:
0
пж оч прошу
Вас заинтересует
2 года назад
7 лет назад
9 лет назад
9 лет назад
10 лет назад