• Предмет: Алгебра
  • Автор: yyurkinaa0707
  • Вопрос задан 9 лет назад

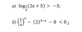
решите пожалуйста)
хотя бы одно

Приложения:

Ответы

Ответ дал: oganesbagoyan
0
Решение неравенств  см.  фото
Приложения:
Ответ дал: подкожного
0
Я думаю ,с вашим решение этого простого логприфмического уравнения никто не разберется.
Ответ дал: oganesbagoyan
0
⇔( знак эквивалентности) здесь_ равносильные преобразования неравенств
Ответ дал: подкожного
0
знак равносильности то понятен,а вот всё остальное???Надо же учитывать ОДЗ логарифма, делать логарифмы с обеих сторон уравнения или неравенства.Потом приравнивают подлогарифмические выражения. А если это неравенство,то учитывать величину основания. Ваше решение не вписывается в этот алгоритм.У вас судя по ответу,раз совпадает ,все верно,но ход решения мне не ясен.Я привык решать и оформлять по другому.
Ответ дал: oganesbagoyan
0
0 < 2x + 5 ( часть двойного неравенства ) и определяет ОДЗ , а вторая часть 2x + 5 < (1/2)⁻³ подчеркивает факт , что логарифмическая функция убивающая (↓) , если основание , В ДАННОМ СЛУЧАЕ 1/2 , ∈ (0 ;1) . Это двойное неравенство можно записать в виде системы неравенств.
Ответ дал: oganesbagoyan
0
Давно известно A < B < C ⇔ { A < B ; B < C .
Вас заинтересует