• Предмет: Алгебра
  • Автор: xoplya
  • Вопрос задан 9 лет назад

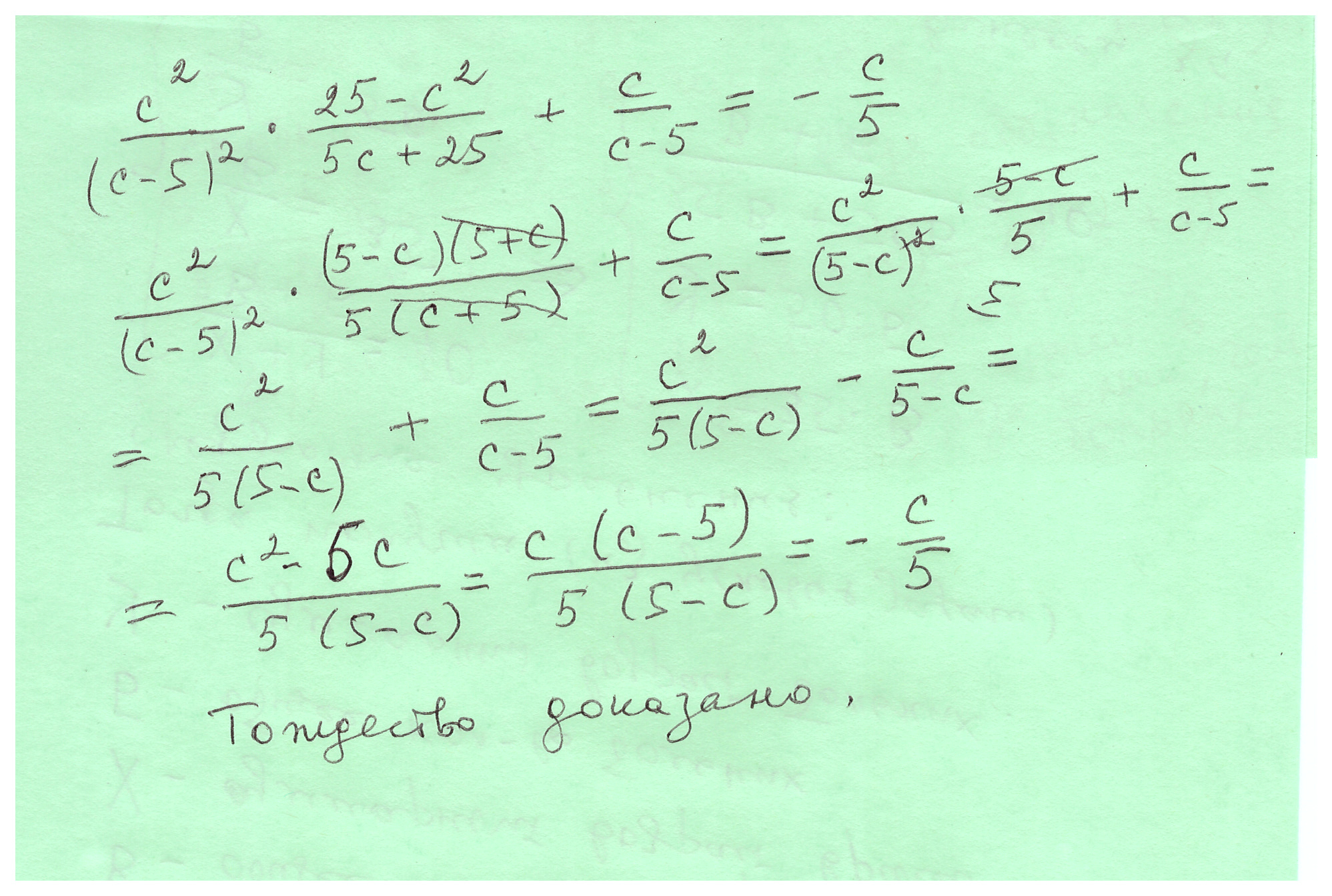
срочно пожалуйста решите тождество

Приложения:

Ответы

Ответ дал: raisaallukina
0
Смотри решение во вложенном файле.
Приложения:
Вас заинтересует