• Предмет: Алгебра
  • Автор: CR7777777
  • Вопрос задан 11 лет назад

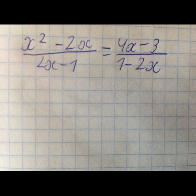
Дробно рациональные уравнение

Приложения:

Ответы

Ответ дал: Artem112
0

frac{x^2-2x}{2x-1}=frac{4x-3}{1-2x} \ frac{x^2-2x}{2x-1}=frac{3-4x}{2x-1} \ xneq0.5 \ x^2-2x=3-4x \ x^2+2x-3=0 \ D_1=1+3=4 \ x_1=-1-2=-3 \ x_2=-1+2=1

Ответ: 1 и -3

 
Вас заинтересует