Ответы
Ответ дал:
0
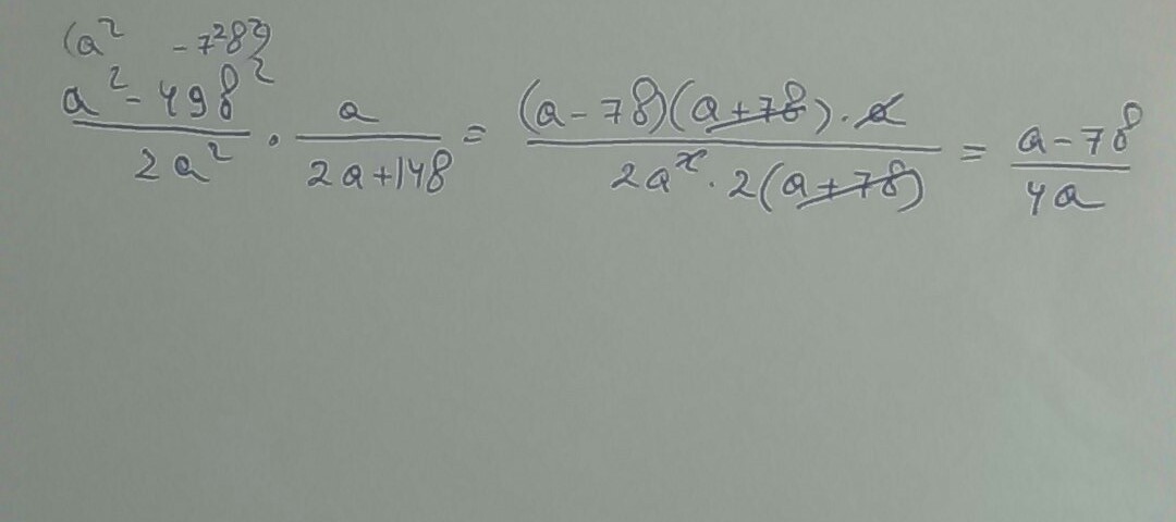
здесь можно только упростить
Приложения:

Ответ дал:
0
Во втором задании после сокращений будет (а+4b)/9a
Приложения:

Вас заинтересует
2 года назад
2 года назад
7 лет назад
9 лет назад
9 лет назад
10 лет назад