• Предмет: Алгебра
  • Автор: лиана8824
  • Вопрос задан 9 лет назад

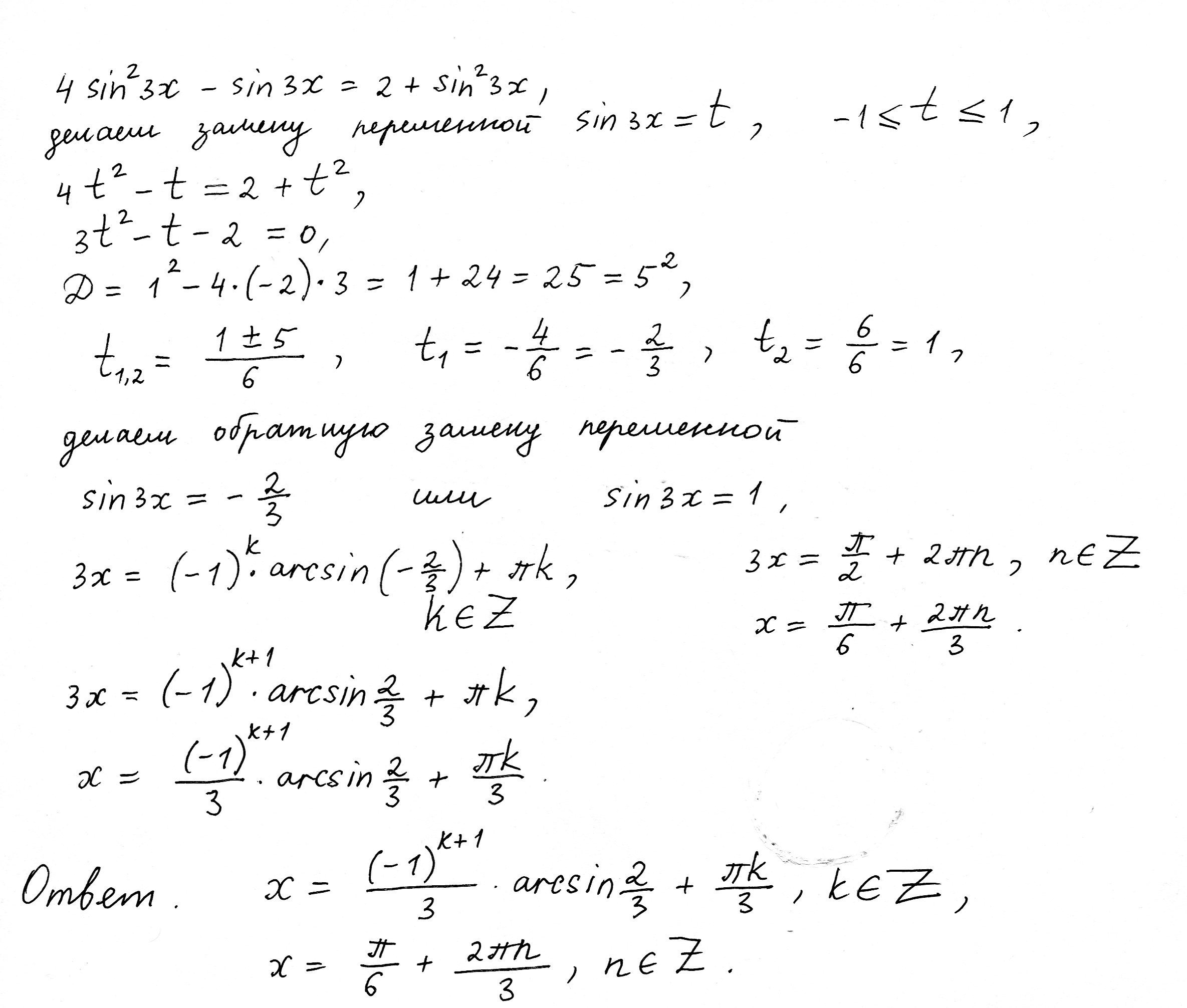
4sin(в квадрате) 3x - sin3x = 2 + sin( в квадрате) 3x

Ответы

Ответ дал: Аноним
0
Я решил на листочке, ниже...
Приложения:
Ответ дал: лиана8824
0
спасибо большое
Вас заинтересует