• Предмет: Алгебра
  • Автор: DenRismer
  • Вопрос задан 11 лет назад

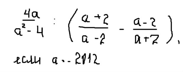
найти зачение выражения, помогите ппожалуйста

Приложения:

Ответы

Ответ дал: konrad509
0
frac{4a}{a^2-4}:(frac{a+2}{a-2}-frac{a-2}{a+2})=\ 
frac{4a}{a^2-4}:(frac{(a+2)^2}{a^2-4}-frac{(a-2)^2}{a^2-4})=\ 
frac{4a}{a^2-4}:frac{a^2+4a+4-(a^2-4a+4)}{a^2-4}=\ 
frac{4a}{a^2-4}cdotfrac{a^2-4}{a^2+4a+4-a^2+4a-4}=\ 
4acdotfrac{1}{8a}=\ 
frac{1}{2}
Ответ дал: konrad509
0
выражение не зависит от значения параметра a
Ответ дал: Lie
0
о, точно, лопухнулся =.=, спасибо
Ответ дал: DenRismer
0
ребята, огромное спасибо за помощь.
Ответ дал: Lie
0
1.  (a+2)/(a-2) - (a-2)/(a+2) приводим к общ знаменателю a^2 -4
получаем ((a+2)^2-(a-2)^2)/(a^2-4)
2. ( (4*a)/(a^2-4)) /(((a+2)^2-(a-2)^2)/(a^2-4))

4a/(a^2+4a+4-a^2+4a-4)=4a/8a=2
Не зависит от параметра а
Вас заинтересует