• Предмет: Алгебра
  • Автор: XaZoR1337
  • Вопрос задан 9 лет назад

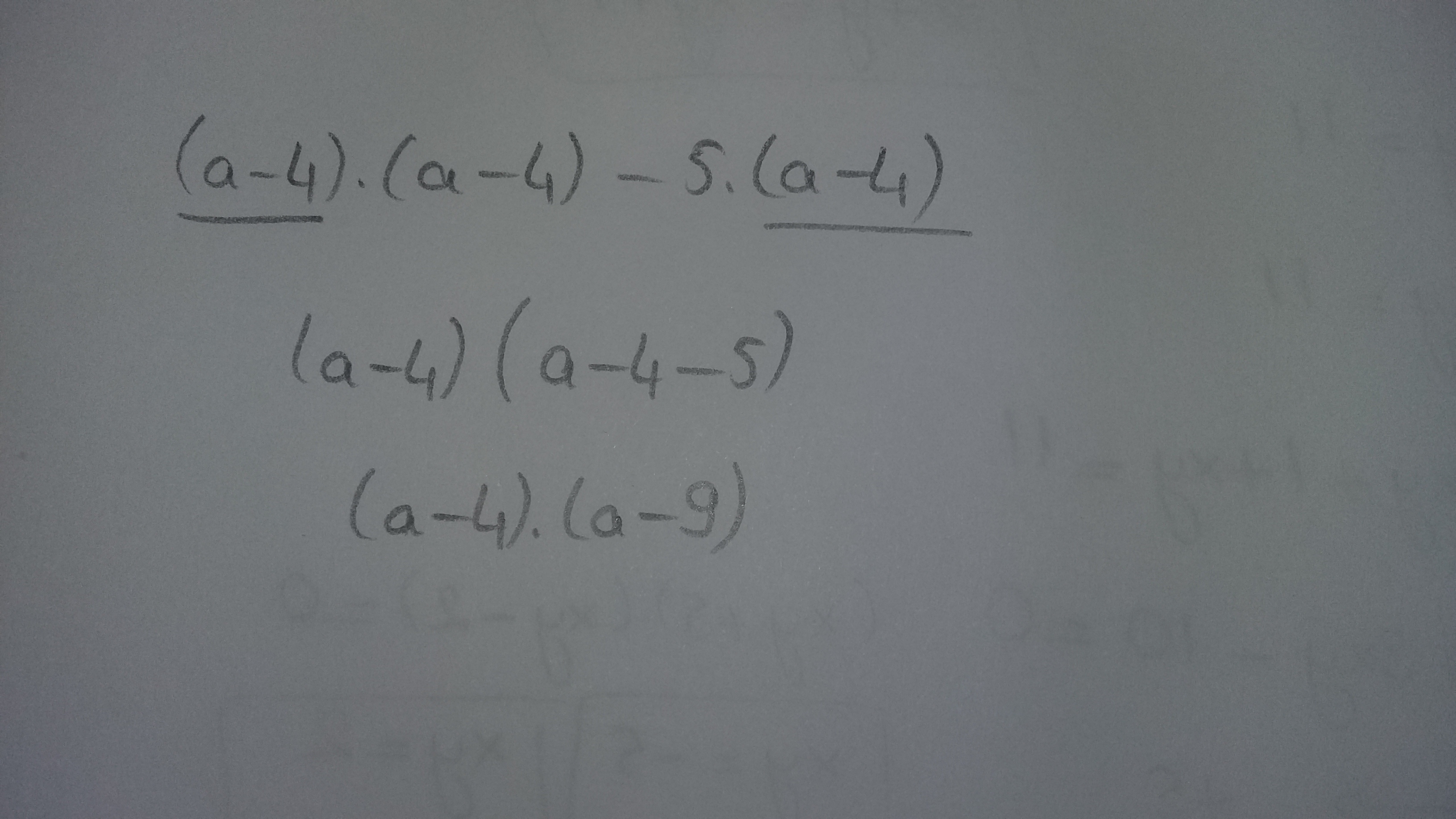
Разложите на множители: (а-4)^2-5(а-4)
^- означает степень

Ответы

Ответ дал: Аноним
0
I hope this helps you
Приложения:
Ответ дал: mami25366
0
 (а-4)^2-5(а-4) = (a-4)(a-4) - 5(a-4) = (a-4)(a-4-5) = (a-4)(a-9)
Приложения:
Вас заинтересует