• Предмет: Алгебра
  • Автор: vilkadave
  • Вопрос задан 9 лет назад

30 баллов
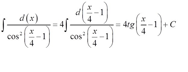
Найти на фото решение
Тема : интегралы

Приложения:

Ответы

Ответ дал: tgz
0
Решение на фотографии ниже.
Приложения:
Вас заинтересует