СРОЧНО ПОМОГИТЕ РЕШИТЬ!!!! Ничего не понимаю в этих примерах, ПОМОГИТЕ!!!
Задание: упростите рациональное выражение
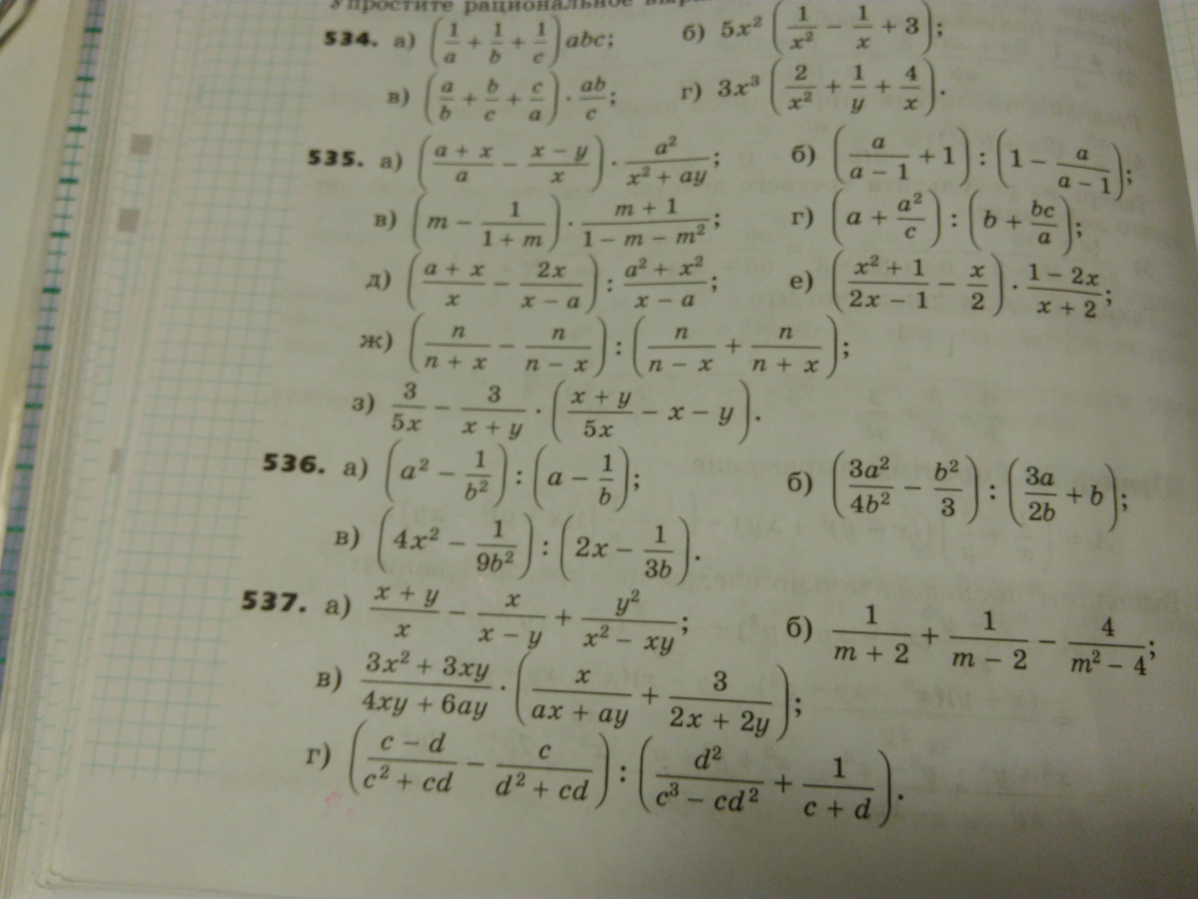
Номер 537 (в,г)
Приложения:


Ответы
Ответ дал:
0
в). (3х*(х+у)/2у*(2х+3а)) * ((2х+3а)/2а*(х+у)=3х/4ау
г). ((с-d)/c*(c+d)-c/d*(c+d) : (d^2/c*(c-d)*(c+d) + 1/(c+d))=
(cd-d^2-c^2/cd*(c+d)) : (d^2+c^2-cd/c*(c-d)*(c+d)=
(cd-d^2-c^2/cd*(c+d)) : (-(cd-d^2-c^2)/c*(c-d)*(c+d))= -c*(c-d)/cd
Вас заинтересует
2 года назад
2 года назад
7 лет назад
7 лет назад
9 лет назад
9 лет назад
10 лет назад