• Предмет: Алгебра
  • Автор: SwFOX
  • Вопрос задан 11 лет назад

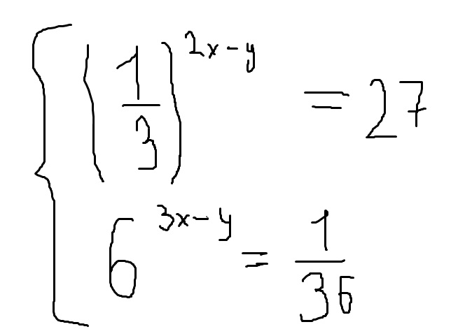
Если (Хо, Уо) - решение системы (здесь картинка)  то сумма Хо, Уо равна

Приложения:

Ответы

Ответ дал: Гоша68
0
y-2x=3
3x-y=-2
x=-1
y=3+2x=1
x+y=0
....................................
Ответ дал: Аноним
0
задание решено, см. вложение
(17)
Приложения:
Вас заинтересует