• Предмет: Алгебра
  • Автор: Лапочка76
  • Вопрос задан 9 лет назад

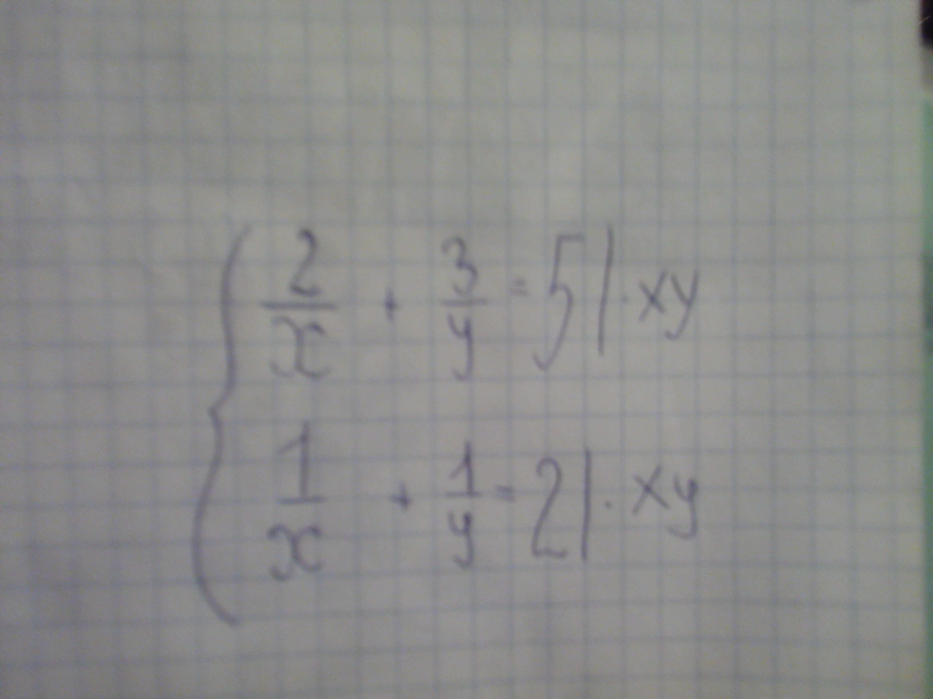
Решите плиз!Система линнйных уравнений способом подстановки

Приложения:

Ответы

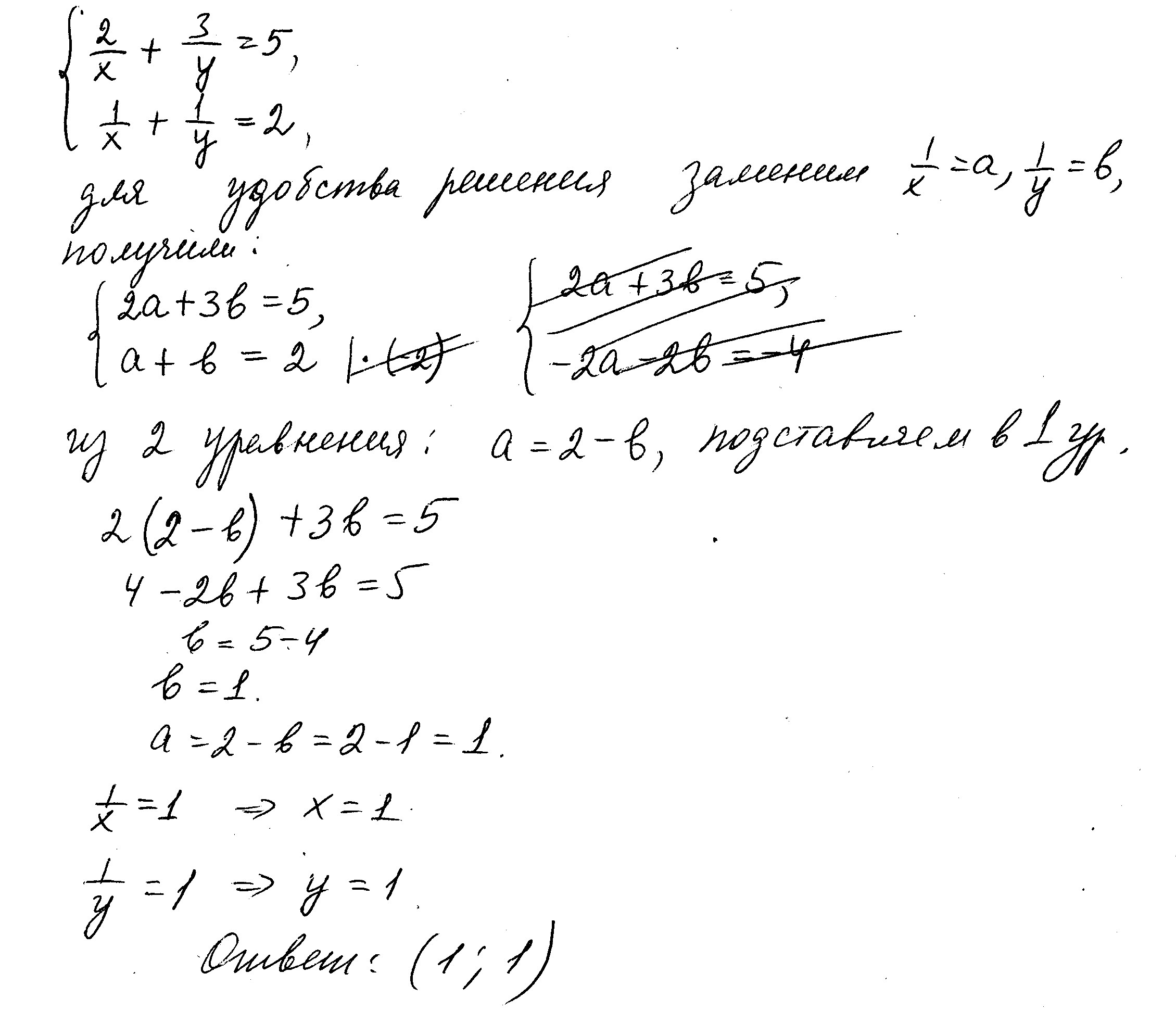
Ответ дал: samodina
0
решение во вложенном файле
Приложения:
Вас заинтересует