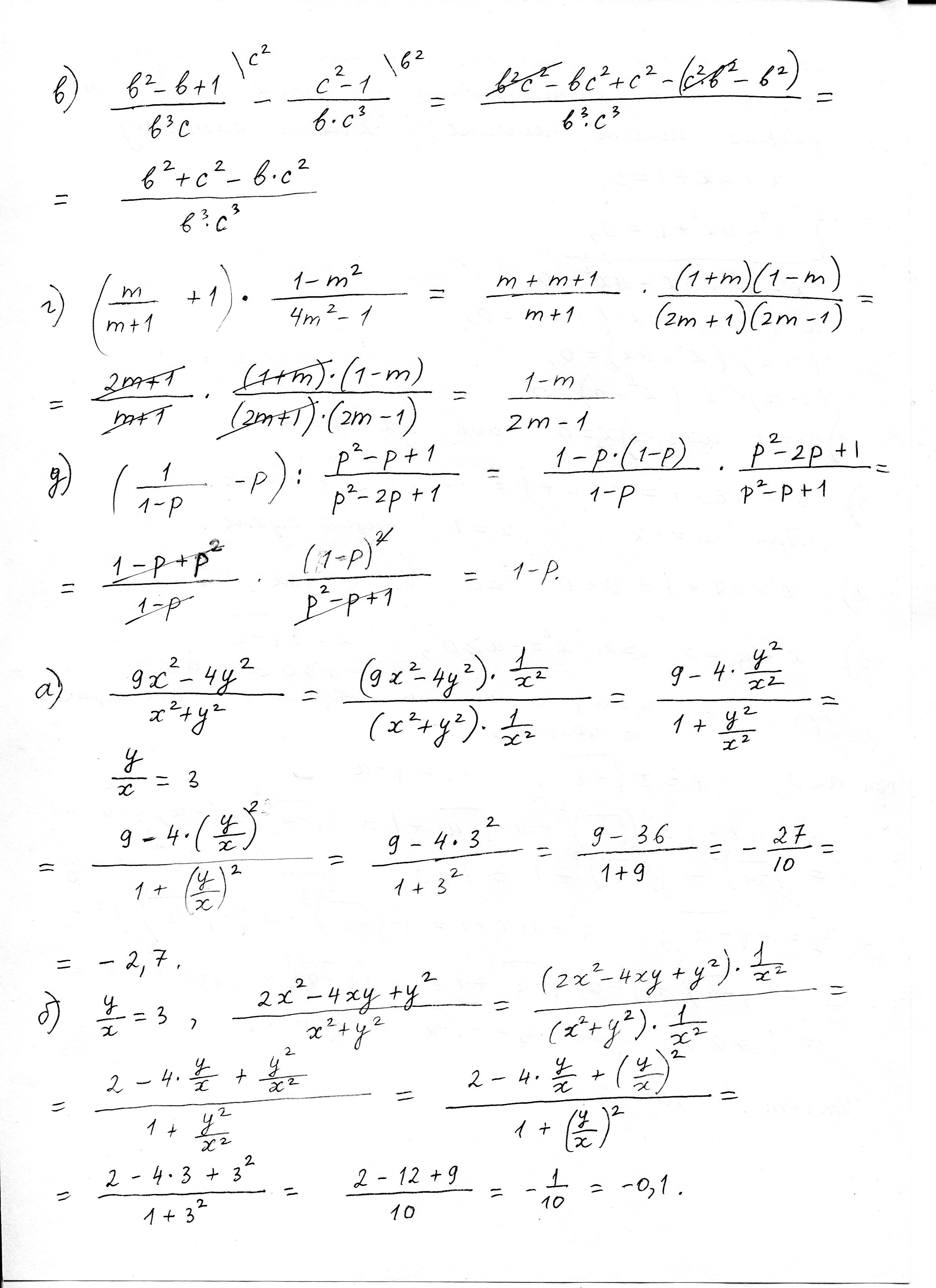
Помогите пожалуйста решить! в первом просто решить, а во-втором: полагая, что х/у=3 найти значение дроби.
Приложения:

Ответы
Ответ дал:
0
Я на листочке решил, ниже прикрепил.
Приложения:

Вас заинтересует
2 года назад
2 года назад
7 лет назад
9 лет назад
9 лет назад
10 лет назад