• Предмет: Алгебра
  • Автор: Sanelya1998
  • Вопрос задан 11 лет назад

Привет, помогите, пожалуйста, буду благодарна

Приложения:

Ответы

Ответ дал: okneret
0
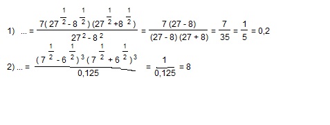
использовано: представление корня в виде степени с дробным показателем, формула разности квадратов, действия с десятичными дробями
Приложения:
Вас заинтересует