Ответы
Ответ дал:
0
!!!!!!!!!!!!!!!!!!!!!!!!
Приложения:
Ответ дал:
0
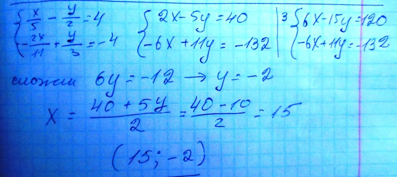
- 15у +11у = - 4у. Откуда 6у = - 12 ?
Ответ дал:
0
Умножим первое уравнение на 10, а второе умножим на 33 и получим систему:
{2х - 5у = 40
{- 6х + 11у = - 132
А теперь, очевидно, что первое уравнение нужно умножить на 3 и получим:
{6х - 15у = 120
{- 6х + 11у = - 132
наконец, сложим эти уравнения:
6х - 15у - 6х + 11у = 120 - 132
- 4у = - 12
у = - 12 : (- 4)
у = 3
В уравнение 2х - 5у = 40 подставим у = 3 и найдём значение х.
2х - 5 · 3 = 40
2х - 15 = 40
2х = 40 + 15
2х = 55
х = 55 : 2
х = 27,5
Проверка х = 27,5; у = 3
{27,5/5 - 3/2 = 4
{- 2*27,5/11 + 3/3 = - 4
║
∨
{5,5 - 1,5 = 4
{- 55/11 + 1 = - 4
║
∨
{4 = 4
{- 5 + 1 = - 4
║
∨
{4 = 4
{- 4 = - 4
Всё верно.
Ответ: х = 27,5; у = 3.
{2х - 5у = 40
{- 6х + 11у = - 132
А теперь, очевидно, что первое уравнение нужно умножить на 3 и получим:
{6х - 15у = 120
{- 6х + 11у = - 132
наконец, сложим эти уравнения:
6х - 15у - 6х + 11у = 120 - 132
- 4у = - 12
у = - 12 : (- 4)
у = 3
В уравнение 2х - 5у = 40 подставим у = 3 и найдём значение х.
2х - 5 · 3 = 40
2х - 15 = 40
2х = 40 + 15
2х = 55
х = 55 : 2
х = 27,5
Проверка х = 27,5; у = 3
{27,5/5 - 3/2 = 4
{- 2*27,5/11 + 3/3 = - 4
║
∨
{5,5 - 1,5 = 4
{- 55/11 + 1 = - 4
║
∨
{4 = 4
{- 5 + 1 = - 4
║
∨
{4 = 4
{- 4 = - 4
Всё верно.
Ответ: х = 27,5; у = 3.
Приложения:
Вас заинтересует
7 лет назад
10 лет назад
10 лет назад
10 лет назад