• Предмет: Алгебра
  • Автор: kotenokmacho
  • Вопрос задан 9 лет назад

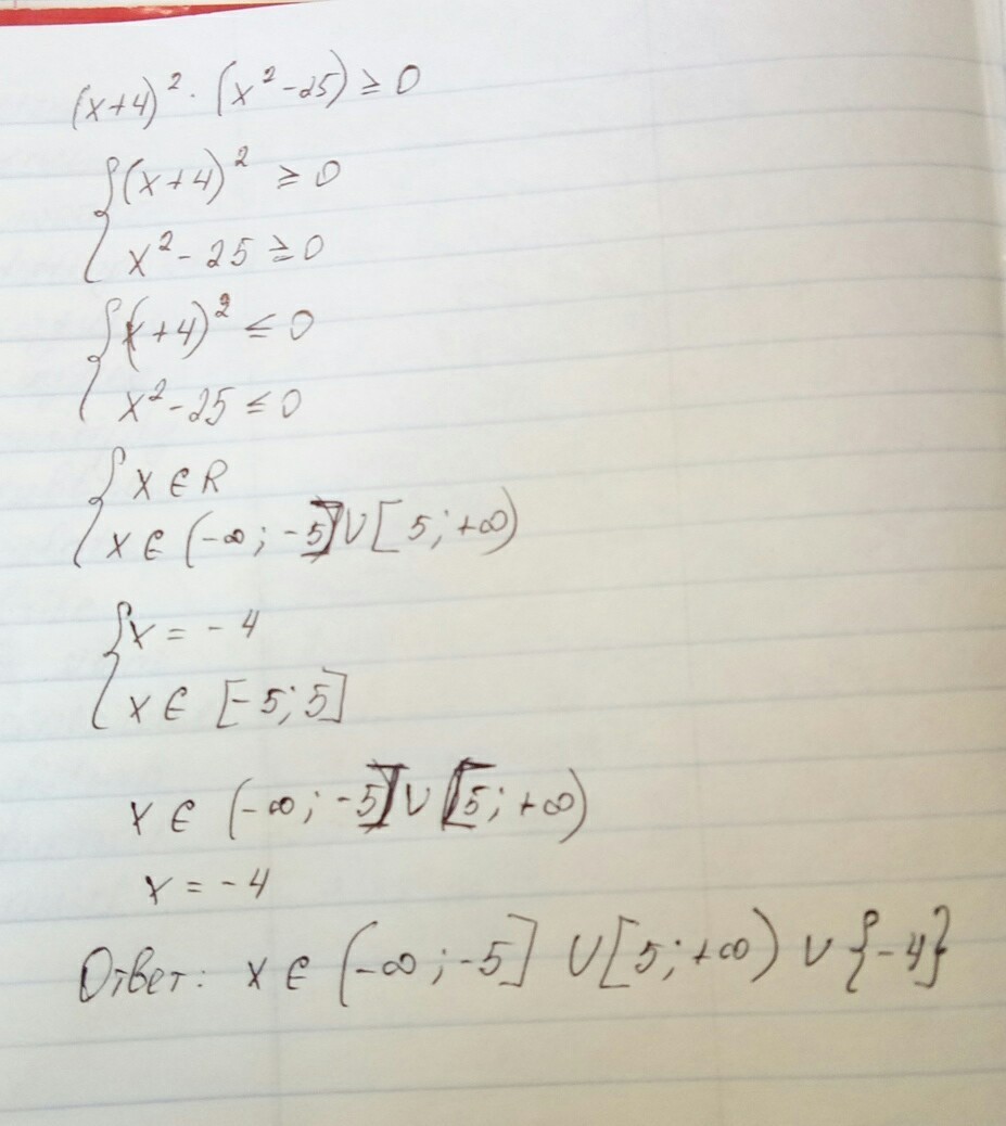
(х+4)^2 * (х^2-25) больше или равно 0

Ответы

Ответ дал: Alina209185
0
(х+4)²·(х²-25)≥0
__________________
Приложения:
Ответ дал: kotenokmacho
0
спасибо большое!!!
Вас заинтересует