1). Упростить выражение: а). ( х – 3)( х – 7) – 2х( 3х – 5); б). 4а( а – 2) – ( а – 4)2; в). 2( т + 1)2 – 4т 2). Разложите на множители: а). х3 – 9х; б). – 5а2 – 10ав – 5в2 3). Упростите выражение: ( у2 – 2у)2 – у2( у + 3)( у – 3) + 2у( 2у2 + 5) 4). Разложите на множители: а). 16х4 – 81; б). х2 – х – у2 – у п ж буду очень благодарен
Ответы
Ответ дал:
0
I hope this helps you
Приложения:

Ответ дал:
0
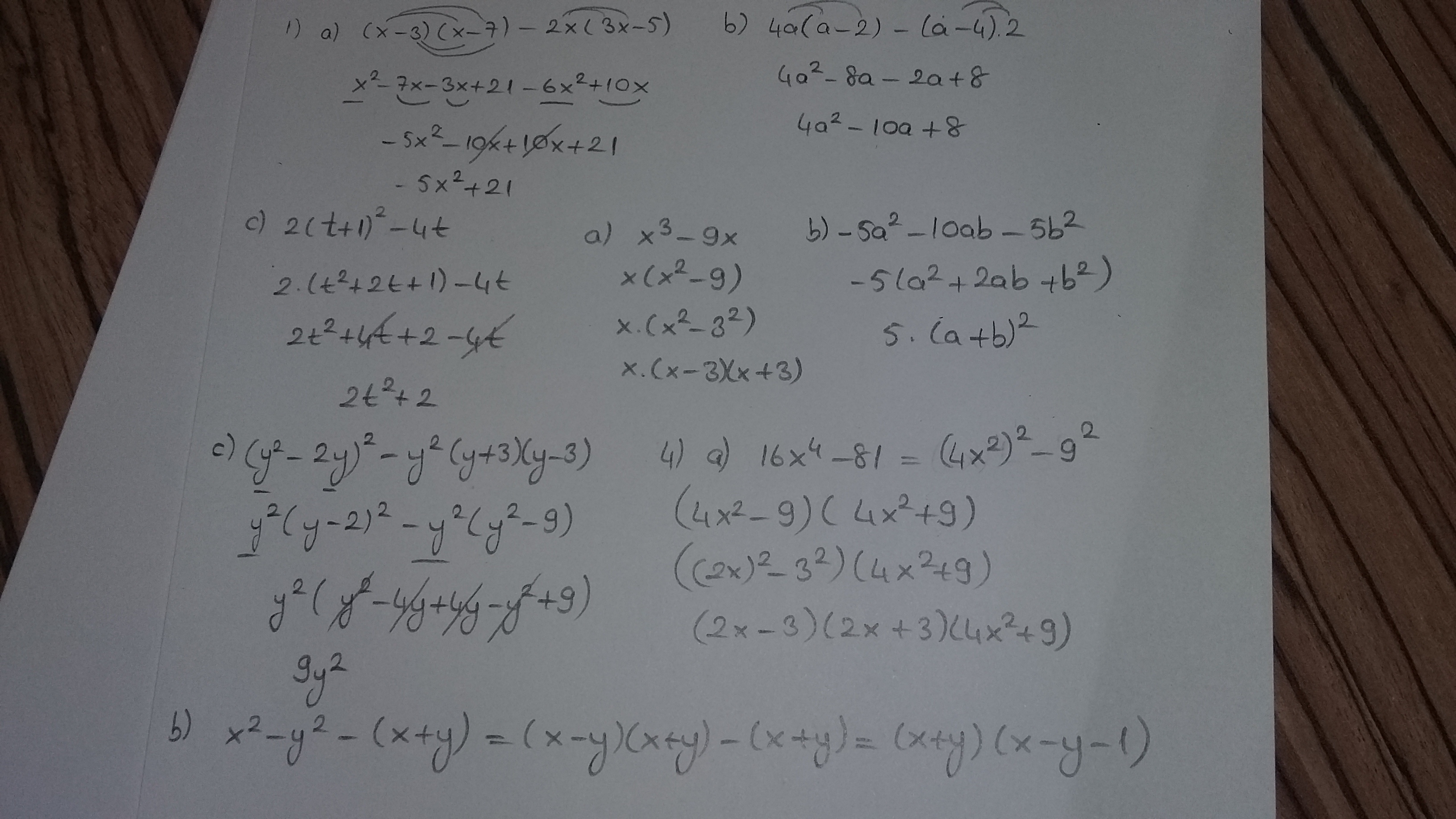
1).а). ( х – 3)( х – 7) – 2х( 3х – 5)= х²-10x+21-6x²+10x=-5x²+21.
б). 4а( а – 2) – ( а – 4)²=4a²-8a-a²+8a-16=3a²-16.
в). 2( т + 1)² – 4т=2t²+4t+2-4t=2t²+2.
2) а). х³ – 9х=x(x²-9)=x(x-3)(x+3).
б). – 5а² – 10ав – 5в²=– 5(а² +2ав + в²)=-5(а+в)².
3) (у²–2у)²–у²(у+3)(у-3)+2у(2у²+5)= y⁴-4y³+4y²-y²(y²-9)+4y³+10y= y⁴+4y²-y⁴+9y²+10y=13y²+10y=y(13y+10).
4). а). 16х⁴ – 81=(4x²-9)(4x²+9)=(2x-3)(2x+3)(4x²+9).
б). х² – х – у² – у=x²-y²-(x+y)=(x-y)(x+y)-(x+y)=(x+y)(x-y-1).
б). 4а( а – 2) – ( а – 4)²=4a²-8a-a²+8a-16=3a²-16.
в). 2( т + 1)² – 4т=2t²+4t+2-4t=2t²+2.
2) а). х³ – 9х=x(x²-9)=x(x-3)(x+3).
б). – 5а² – 10ав – 5в²=– 5(а² +2ав + в²)=-5(а+в)².
3) (у²–2у)²–у²(у+3)(у-3)+2у(2у²+5)= y⁴-4y³+4y²-y²(y²-9)+4y³+10y= y⁴+4y²-y⁴+9y²+10y=13y²+10y=y(13y+10).
4). а). 16х⁴ – 81=(4x²-9)(4x²+9)=(2x-3)(2x+3)(4x²+9).
б). х² – х – у² – у=x²-y²-(x+y)=(x-y)(x+y)-(x+y)=(x+y)(x-y-1).
Приложения:

Вас заинтересует
2 года назад
2 года назад
7 лет назад
7 лет назад
9 лет назад