тело брошено со скоростью,модуль которой Vo=15 м/с,вертикально вверх с высоты 20 м относительно земли.Средняя путевая скорость тела за время полета составляет... м/с
Пожалуйста подробно ,с пояснениями ...
Ответы
Ответ дал:
0
Долго выкладывала,т.к. сомневалась ср.путевая скорость и ср. скорость -это одно и тоже?
Приложения:
Ответ дал:
0
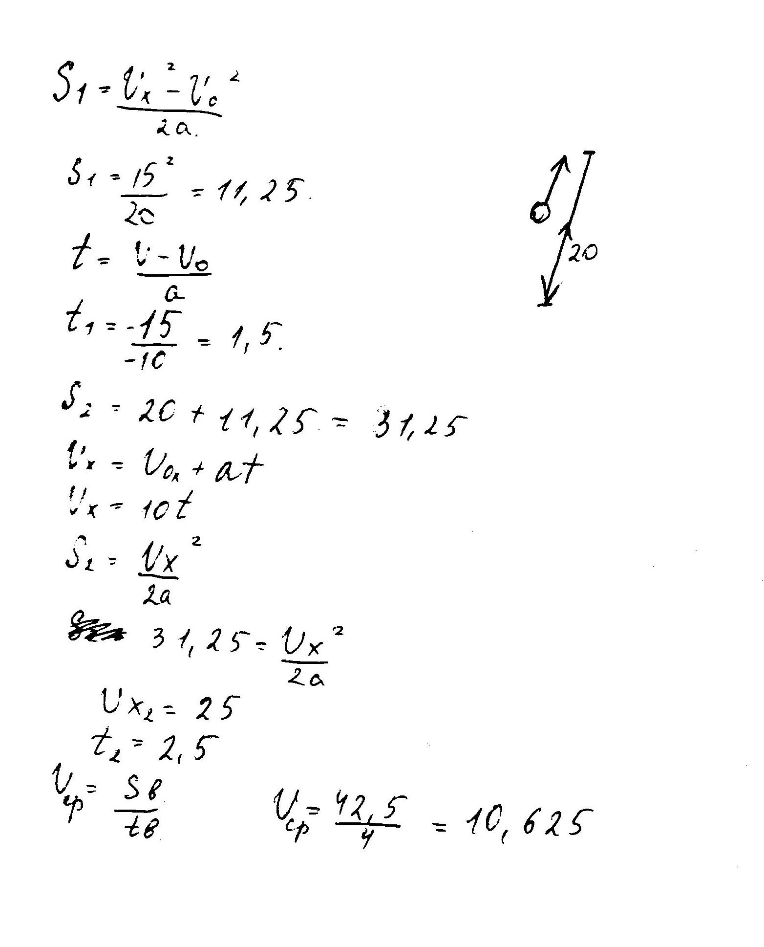
Средняя (путевая) скорость теля это отношении всего пути к времени на весь путь.
V ср =S/t=(S1+S2)/(t1+t2)
где S1, t1 -путь и время на подъем
S2, t2 - путь и время падения тела.
Определим
t1 и S1 приняв
Тело поднимается вверх по законам
V=Vo-gt
S=Vo*t-gt^2/2
В верхней точке V=0
Поэтому
Vo-gt1=0
t1=Vo/g=15/9,81=1,53 с
Путь на подъем составит
S1= Vo*t1-g(t1)^1/2=15*1,53-9,81*1,53^2/2 =11,47 м
Падение тела будет с высоты
S2=20+S1=20+11,47 =31,47 м
Падение происходит по закону
S=gt^2/2 или t =корень(2S/g)
Найдем время падения
t2=корень(2S2/g)=корень(2*31,47/9,81)=2,53 c
Найдем среднюю путевую скорость
Vср =(11,47+31,47)/(1,53+2,53) = 42,94/4,06 =10,57 м/c
Если округлить до целых то можно принять вариант Vср =11 м/c
V ср =S/t=(S1+S2)/(t1+t2)
где S1, t1 -путь и время на подъем
S2, t2 - путь и время падения тела.
Определим
t1 и S1 приняв
Тело поднимается вверх по законам
V=Vo-gt
S=Vo*t-gt^2/2
В верхней точке V=0
Поэтому
Vo-gt1=0
t1=Vo/g=15/9,81=1,53 с
Путь на подъем составит
S1= Vo*t1-g(t1)^1/2=15*1,53-9,81*1,53^2/2 =11,47 м
Падение тела будет с высоты
S2=20+S1=20+11,47 =31,47 м
Падение происходит по закону
S=gt^2/2 или t =корень(2S/g)
Найдем время падения
t2=корень(2S2/g)=корень(2*31,47/9,81)=2,53 c
Найдем среднюю путевую скорость
Vср =(11,47+31,47)/(1,53+2,53) = 42,94/4,06 =10,57 м/c
Если округлить до целых то можно принять вариант Vср =11 м/c
Приложения:
Вас заинтересует
3 года назад
3 года назад
8 лет назад
8 лет назад
11 лет назад
11 лет назад
11 лет назад