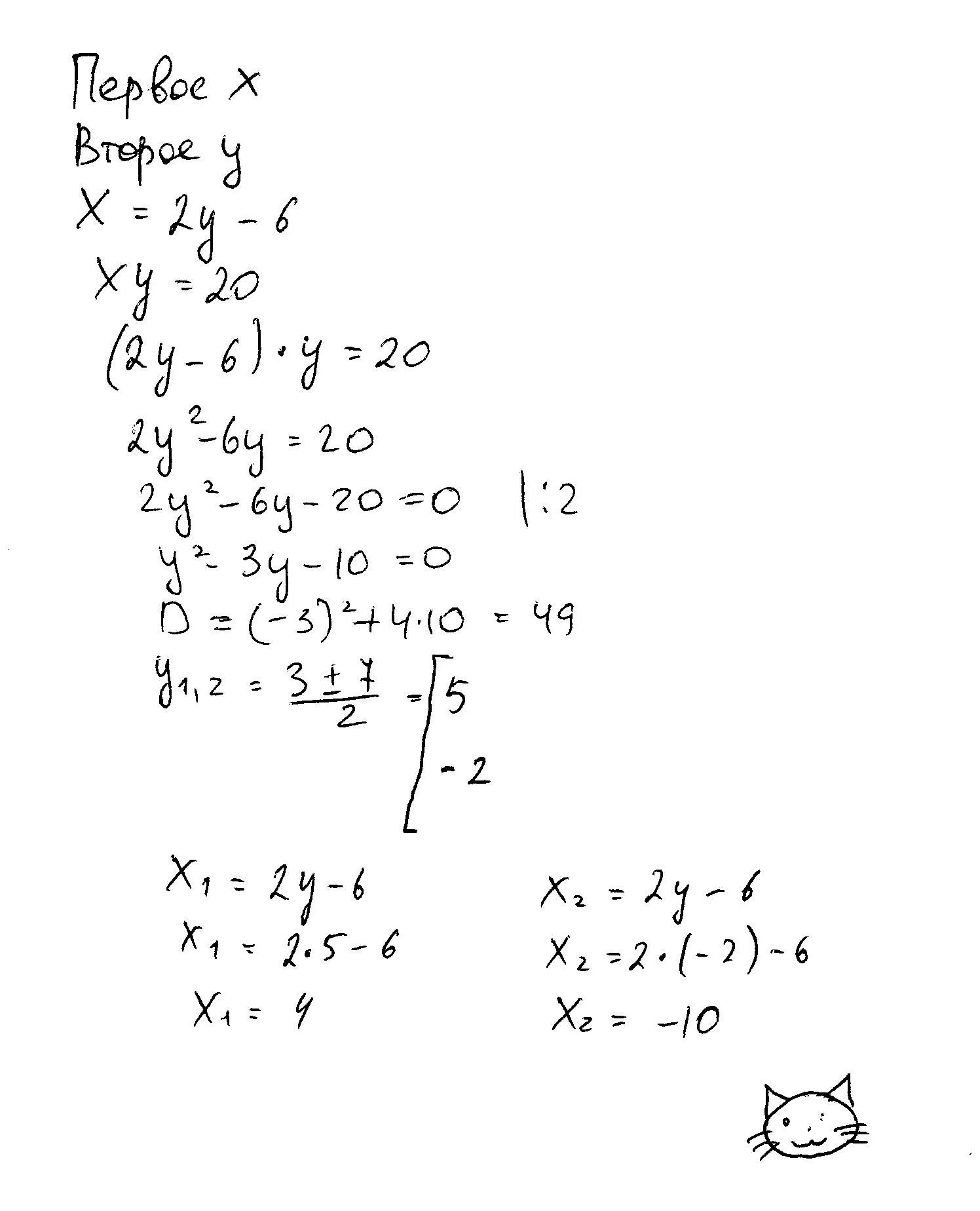
Знайти два натуральних числа,якщо відомо,що перше на 6 менше подвоєнего другого,а їх добуток дорівнює 20.
Ответы
Ответ дал:
0
Решение на картинке :)
_
_
Приложения:

Вас заинтересует
2 года назад
2 года назад
8 лет назад
8 лет назад
10 лет назад
10 лет назад
10 лет назад