Ответы
Ответ дал:
0
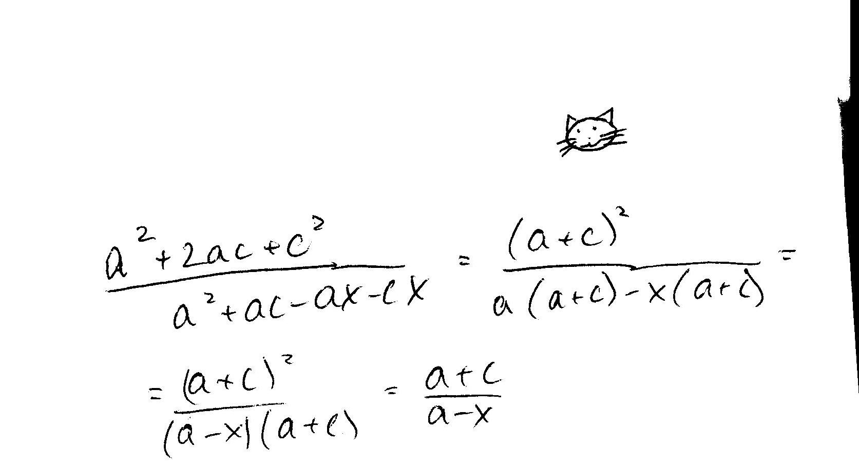
Решение на картинке :)
_
_
Приложения:

Ответ дал:
0
в знаменателе многочлен сгруппирован неправильно
Ответ дал:
0
a^2+2ac+c^2 (а+с)^2 (а+с)^2 (а+с)^2 а+с
---------------------- =______________ = ___________ = ______ = ____
a^2+ac-ax-cx (а^2+ас)-(ах+ас) а(а+с)-х(а+с) (а+с)(а-х) а-х
---------------------- =______________ = ___________ = ______ = ____
a^2+ac-ax-cx (а^2+ас)-(ах+ас) а(а+с)-х(а+с) (а+с)(а-х) а-х
Приложения:

Вас заинтересует
2 года назад
2 года назад
10 лет назад
10 лет назад
10 лет назад