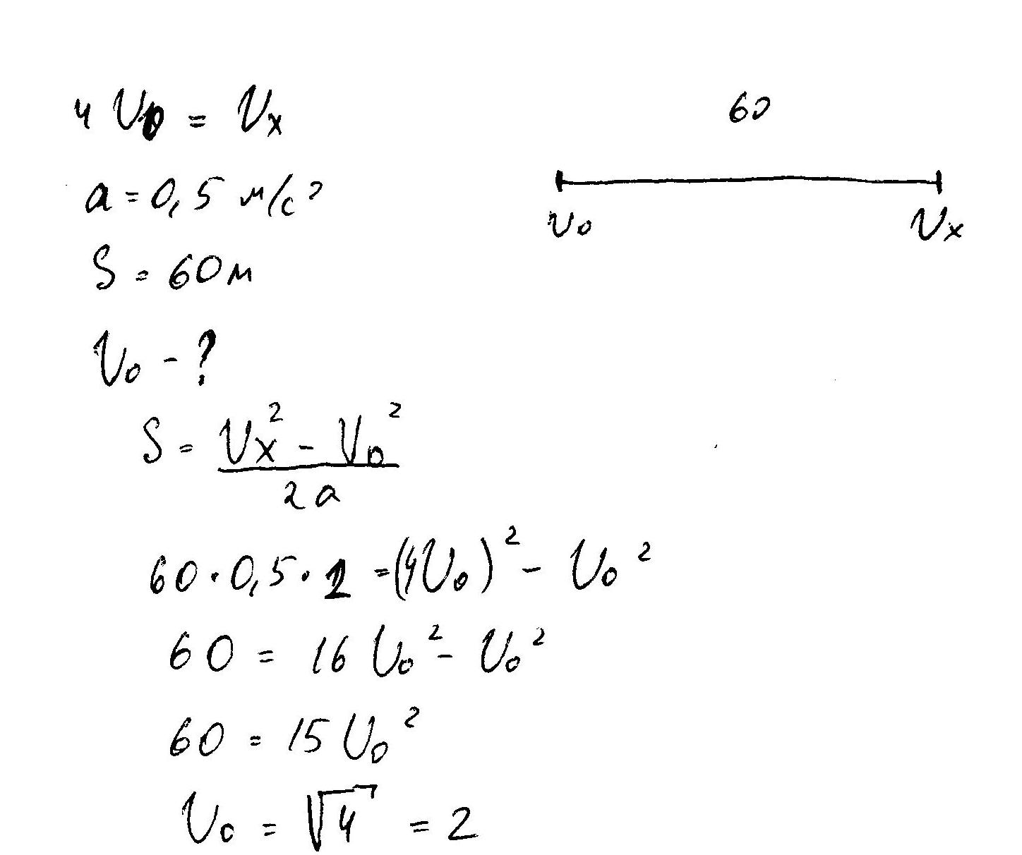
Двигаясь с ускорением 0,5 м/c*2,тело на пути 60 м увеличило свою скорость в 4 раза.Найдите начальную скорость тела
Ответы
Ответ дал:
0
Начальная скорость равна V конечная 4V:

Проверяем:

Начальная скорость равна 2 м/с
Проверяем:
Начальная скорость равна 2 м/с
Ответ дал:
0
Решение на картинке :) _
Приложения:
Вас заинтересует
8 лет назад
8 лет назад
11 лет назад
11 лет назад