• Предмет: Математика
  • Автор: ОлесяCкляр55
  • Вопрос задан 11 лет назад

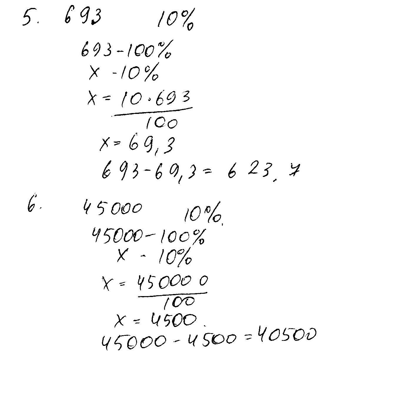
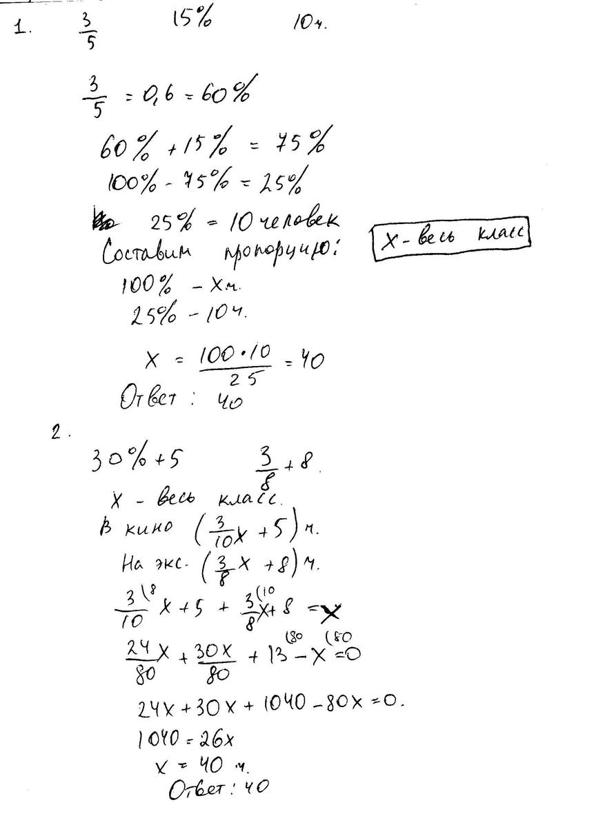
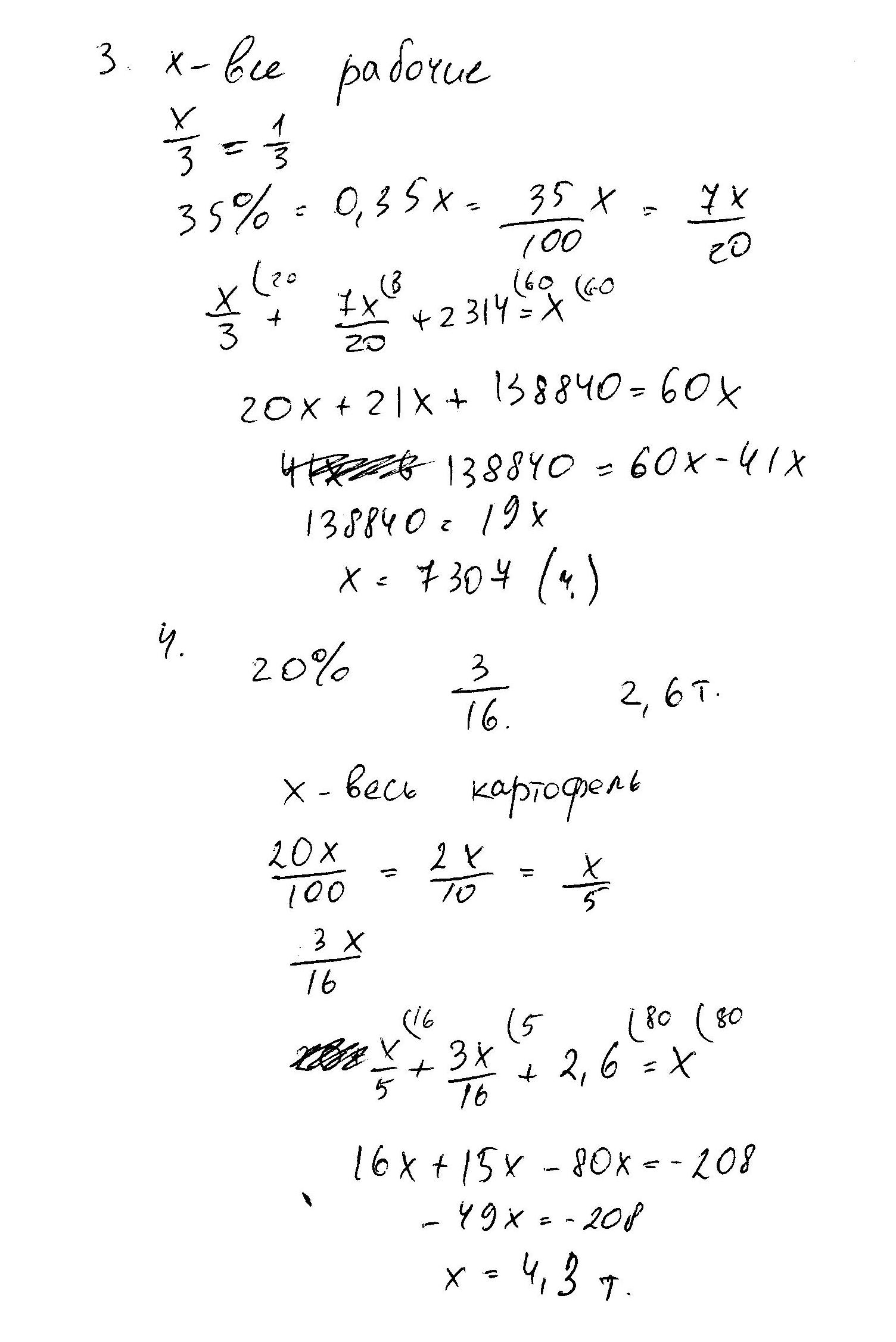
1.3/5 класса пошли в кино, 15% класса - на выставку, А остальные 10 человек готовились к школьному вечеру.Сколько человек в классе?Ответ: 40 человек 2.30% класса и еще 5 человек пошли в кино, а оставшиеся 3/8 и еще 8 человек - на экскурсию. Сколько человек в классе?Ответ: 40 человек 3.Одна треть рабочих предприятия имела отпуск летом, 35 % остальных рабочих отдыхали осенью и еще 2314 человек отдыхали зимой и весной. Сколько рабочих на предприятии?Ответ: 5340 человек 4.Магазин продал до обеда 20% привезенного картофеля, а после обеда 3/16 остатка. После чего осталось продать еще 2,6 тонны картофеля.Сколько картофеля привезли в магазин?5. При продаже товара за 693 руб получено 10% прибыли. Определите себестоимость товара.Ответ: 630 руб 6.Колхоз продал продукции на 45 000 руб и имел 10% прибыли. Определите себестоимость продукции?Ответ: 50 000 руб 7.Из 16 кг свежих груш получили 4 кг сушеных.Какую часть от массы свежих груш составляет масса сушеных? Выразите эту часть в процентах.Сколько процентов массы теряется при сушке?8.Посадили 50 семян, 47 из них взошли. Определите процент всхожести семян.9.В школе 400 учащихся, 12 из них учатся на "5".Сколько процентов учащихся школы учится на "5"?10.Маша прочитала 120 страниц, и ей осталось прочитать 130 страниц книги. Сколько процентов всех страниц она прочитала? Сколько процентов всех страниц ей осталось прочитать?

Ответы

Ответ дал: Kimikosan
0
Решение на картинках :)
_
Приложения:
Вас заинтересует