Ответы
Ответ дал:
0
В 952) 2) опечатка, должно быть так:
{ 2^(x+y+1) + 7*2^(y-5) = 4
{ √(2x+y^2) = x + y
Второе уравнение возводим в квадрат
2x + y^2 = x^2 + 2xy + y^2
x^2 + 2xy - 2x = 0
x(x + 2y - 2) = 0
Два варианта.
а) x = 0, подставляем в 1 уравнение:
2^(y+1) + 7*2^(y-5) = 4
2*2^y + 7*2^y*2^(-5) = 4
2^y*(2 + 7/32) = 4
2^y = 4 : (71/32) = 4*32/71 = 128/71
y = log2(128/71) = log2(128) - log2(71) = 7 - log2(71)
b) x + 2y - 2 = 0; тогда x = 2 - 2y, подставляем в 1 уравнение
2^(2 - 2y + y + 1) + 7*2^(y - 5) = 4
2^(3 - y) + 7*2^(y - 5) = 4
8/2^y + (7/32)*2^y = 4
Замена 2^y = t > 0 при любом y, и умножаем все на 32
256/t + 7t = 128
Умножаем все на t
7t^2 - 128t + 256 = 0
D/4 = 64^2 - 7*256 = 4096 - 1792 = 2304 = 48^2
t1 = (64 - 48)/7 = 16/7 = 2^y
y1 = log2(16/7) = 4 - log2(7); x1 = 2 - 2y = -6 + 2log2(7)
t2 = (64 + 48)/7 = 112/7 = 16 = 2^y
y2 = 4; x2 = 2 - 2y = 2 - 8 = -6
Ответ: (0; 7 - log2(71)); (-6 + 2log2(7); 4 - log2(7)); (-6; 4)
953) 2) По свойствам логарифмов

Подставляем вместо а сначала (x+y), а потом (x-2y)
{
{ x^2 - xy - 2y^2 = 4
В произведении минус на минус дает плюс. Делим все на
{
{ (x + y)(x - 2y) = 4
Замена
в 1 уравнении
2t^2 + t - 2 = 0
D = 1 - 4*2(-2) = 1 + 16 = 17
t1 = (-1 - √17)/4
t2 = (-1 + √17)/4
Решаем 2 системы
a)
{
{ x - 2y = 4 / (x + y)
Подставляем 2 уравнение в 1






Получаем систему:
{
{
Вычитаем из 1 уравнения 2 уравнение

Получаем


b)
{
{ x - 2y = 4 / (x + y)
Решается точно также.
{ 2^(x+y+1) + 7*2^(y-5) = 4
{ √(2x+y^2) = x + y
Второе уравнение возводим в квадрат
2x + y^2 = x^2 + 2xy + y^2
x^2 + 2xy - 2x = 0
x(x + 2y - 2) = 0
Два варианта.
а) x = 0, подставляем в 1 уравнение:
2^(y+1) + 7*2^(y-5) = 4
2*2^y + 7*2^y*2^(-5) = 4
2^y*(2 + 7/32) = 4
2^y = 4 : (71/32) = 4*32/71 = 128/71
y = log2(128/71) = log2(128) - log2(71) = 7 - log2(71)
b) x + 2y - 2 = 0; тогда x = 2 - 2y, подставляем в 1 уравнение
2^(2 - 2y + y + 1) + 7*2^(y - 5) = 4
2^(3 - y) + 7*2^(y - 5) = 4
8/2^y + (7/32)*2^y = 4
Замена 2^y = t > 0 при любом y, и умножаем все на 32
256/t + 7t = 128
Умножаем все на t
7t^2 - 128t + 256 = 0
D/4 = 64^2 - 7*256 = 4096 - 1792 = 2304 = 48^2
t1 = (64 - 48)/7 = 16/7 = 2^y
y1 = log2(16/7) = 4 - log2(7); x1 = 2 - 2y = -6 + 2log2(7)
t2 = (64 + 48)/7 = 112/7 = 16 = 2^y
y2 = 4; x2 = 2 - 2y = 2 - 8 = -6
Ответ: (0; 7 - log2(71)); (-6 + 2log2(7); 4 - log2(7)); (-6; 4)
953) 2) По свойствам логарифмов
Подставляем вместо а сначала (x+y), а потом (x-2y)
{
{ x^2 - xy - 2y^2 = 4
В произведении минус на минус дает плюс. Делим все на
{
{ (x + y)(x - 2y) = 4
Замена
2t^2 + t - 2 = 0
D = 1 - 4*2(-2) = 1 + 16 = 17
t1 = (-1 - √17)/4
t2 = (-1 + √17)/4
Решаем 2 системы
a)
{
{ x - 2y = 4 / (x + y)
Подставляем 2 уравнение в 1
Получаем систему:
{
{
Вычитаем из 1 уравнения 2 уравнение
Получаем
b)
{
{ x - 2y = 4 / (x + y)
Решается точно также.
Вас заинтересует
2 года назад
7 лет назад
7 лет назад
10 лет назад
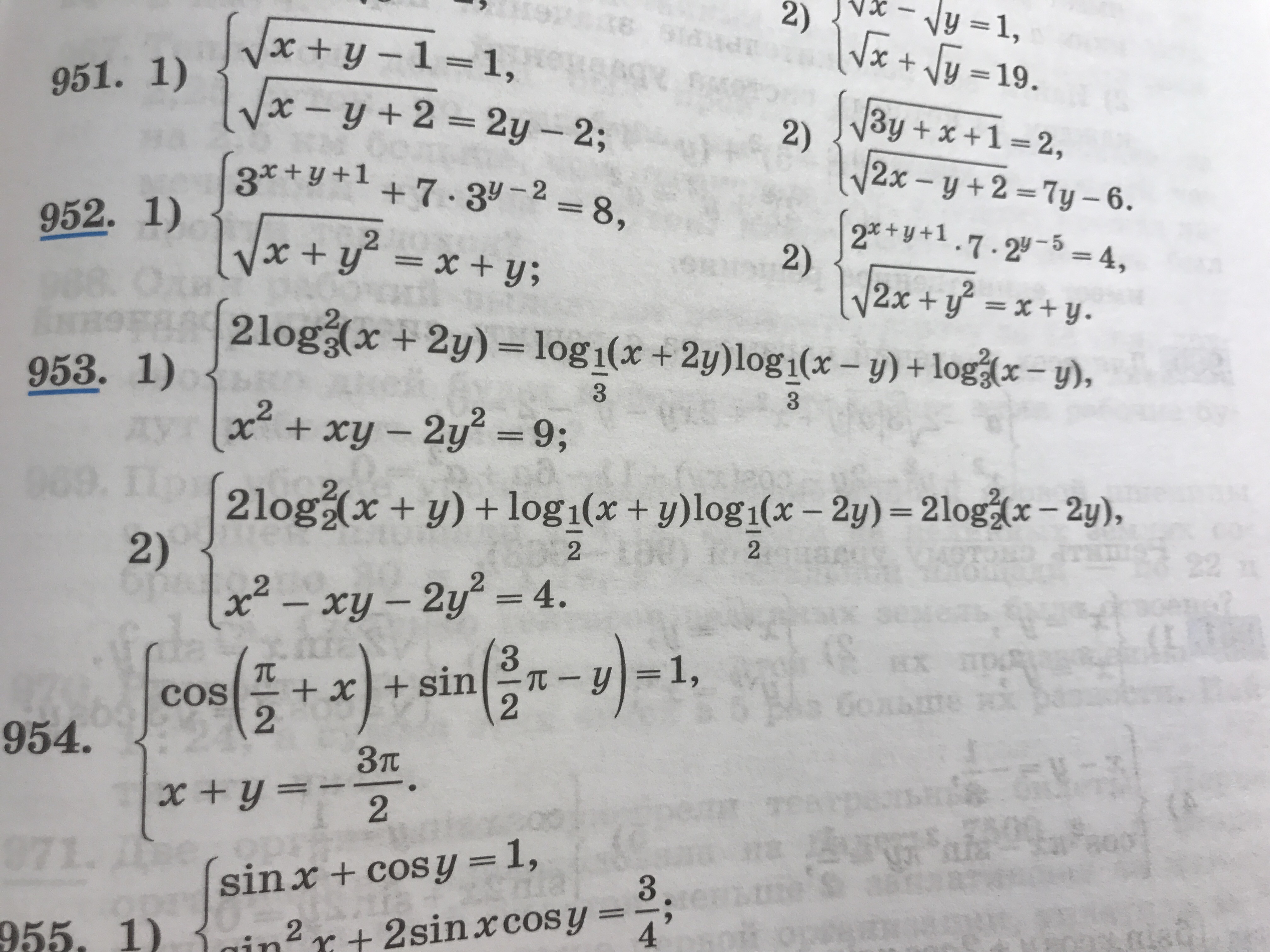
10 лет назад