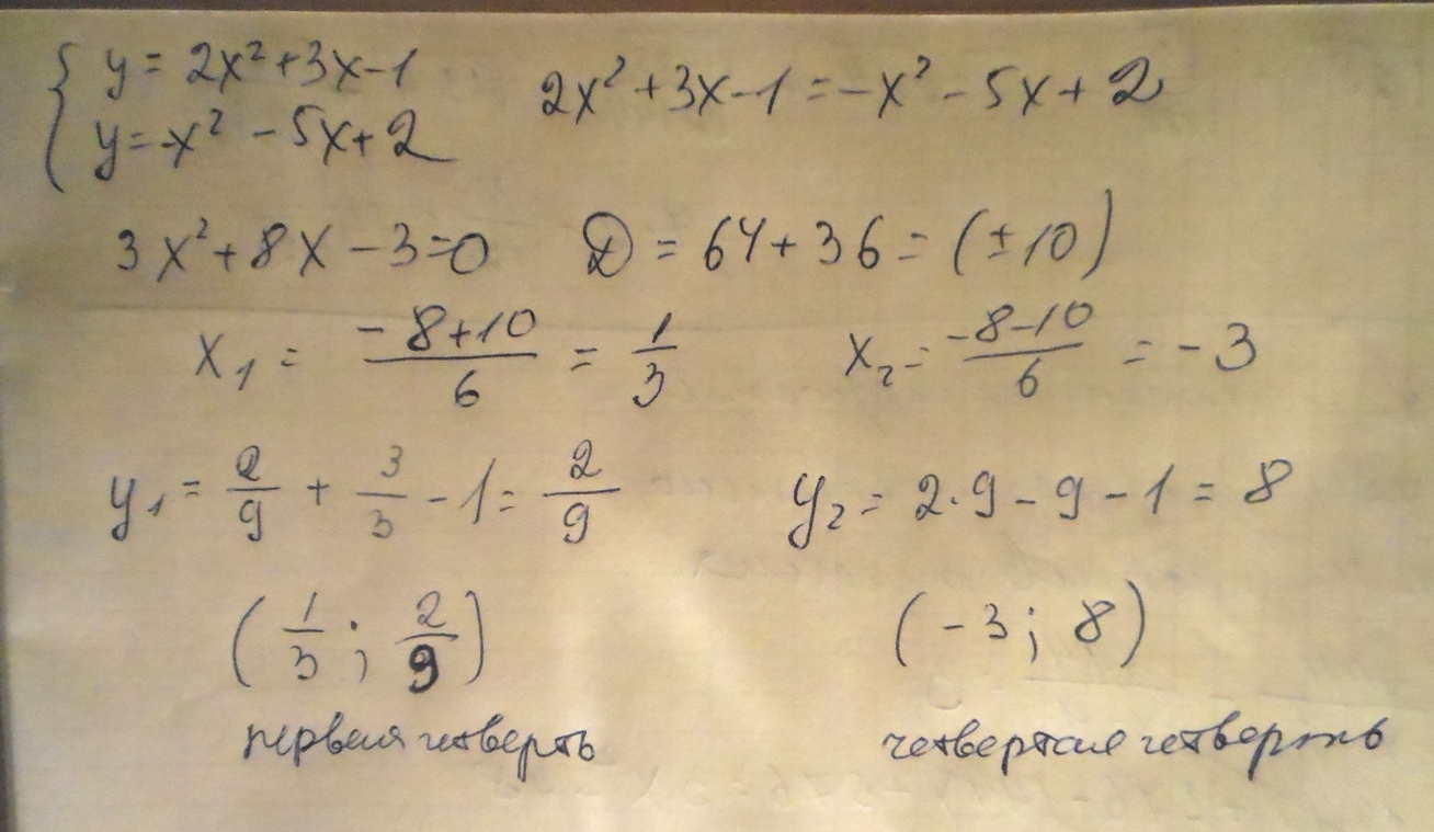
30 баллов срочно. Вычислите точки пересечения парабол y=2x ²+3х-1 и у=-х ²-5х+2
и определите в каких координатных четверях находятся эти точки
Ответы
Ответ дал:
0
!!!!!!!!!!!!!!!!!!!!!!!!!!!!!!!!!!!!!!!
Приложения:

Вас заинтересует
2 года назад
7 лет назад
7 лет назад
9 лет назад
9 лет назад
10 лет назад