• Предмет: Алгебра
  • Автор: NorthernSnow
  • Вопрос задан 9 лет назад

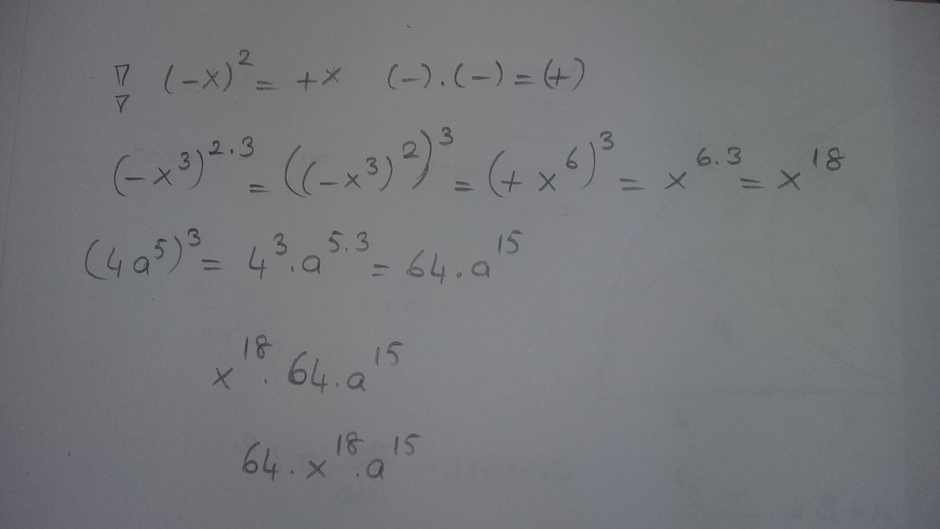
Представить выражение в виде одночлена стандартного вида: (- x^{3} )^{6}*(4a^{5})^{3}

Ответы

Ответ дал: Sophie155
0
(- x^{3} )^{6}*(4a^{5})^{3}=x^{18}*64a^{15}=64a^{15}x^{18}
Ответ дал: Аноним
0
I hope this helps you
Приложения:
Вас заинтересует