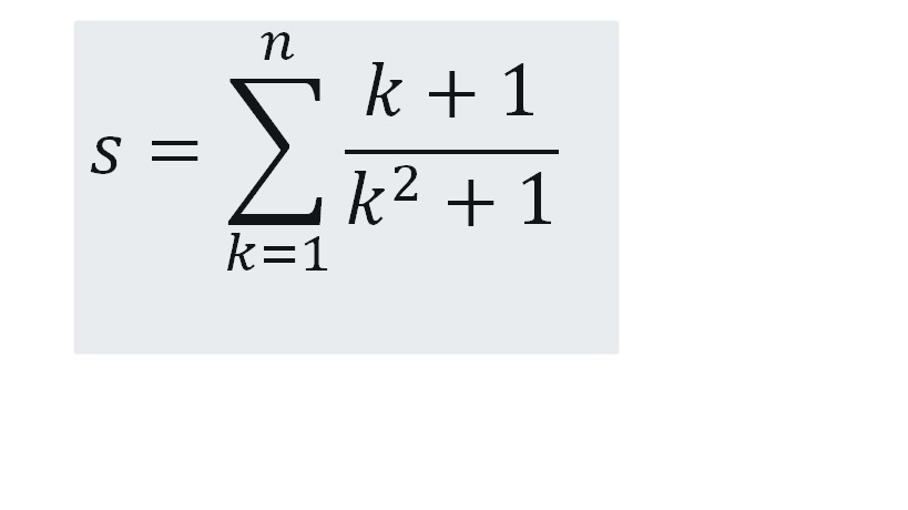
Запиши программу на языке Паскаль. Вычисли сумму s=∑_(k=1)^n▒(k+1)/(k^2+1), если значение n вводит пользователь. Если n=8, то вывод на экран
Приложения:

Ответа на этот вопрос пока нет. Попробуйте найти его через форму поиска.
Вас заинтересует
2 года назад
7 лет назад
9 лет назад
10 лет назад