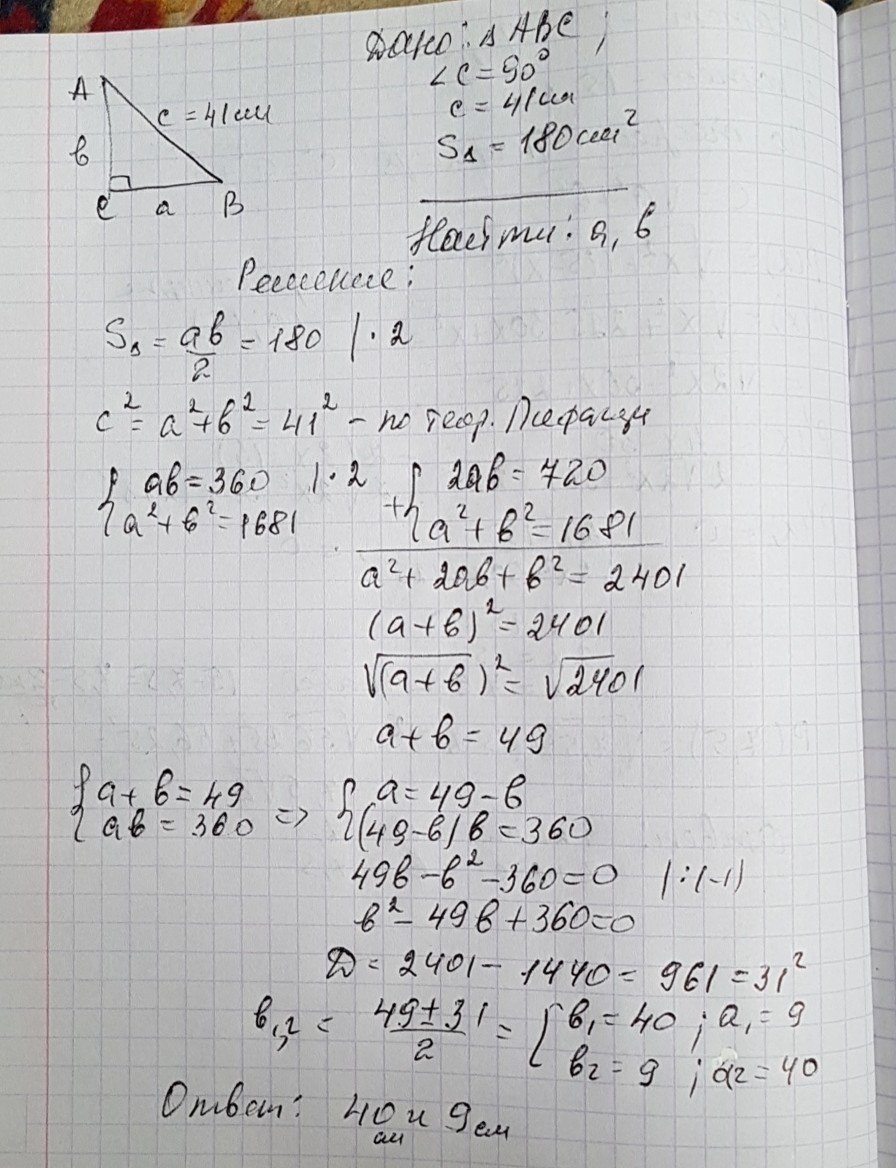
гипотенуза прямоугольного треугольника равна 41 см, а его площадь равна 180 см в квадрате. найдите катеты этого прямоугольника
Ответы
Ответ дал:
0
решение задания смотри на фотографии
Приложения:

Ответ дал:
0
пожалуйста
Вас заинтересует
2 года назад
2 года назад
7 лет назад
7 лет назад
9 лет назад
10 лет назад