• Предмет: Алгебра
  • Автор: Умныйчеловечек2001
  • Вопрос задан 9 лет назад

Алгебра 9 класс
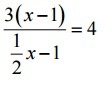
Решите уравнение:

Приложения:

Ответы

Ответ дал: Санечка69
0
3(х - 1) = 4(1/2х - 1), 1/2х - 1 ≠0, т.е.  х ≠ 2
3х - 3 = 2х - 4
3х - 2х = -4 + 3
х = -1

Вас заинтересует