• Предмет: Геометрия
  • Автор: GroupHurts
  • Вопрос задан 11 лет назад

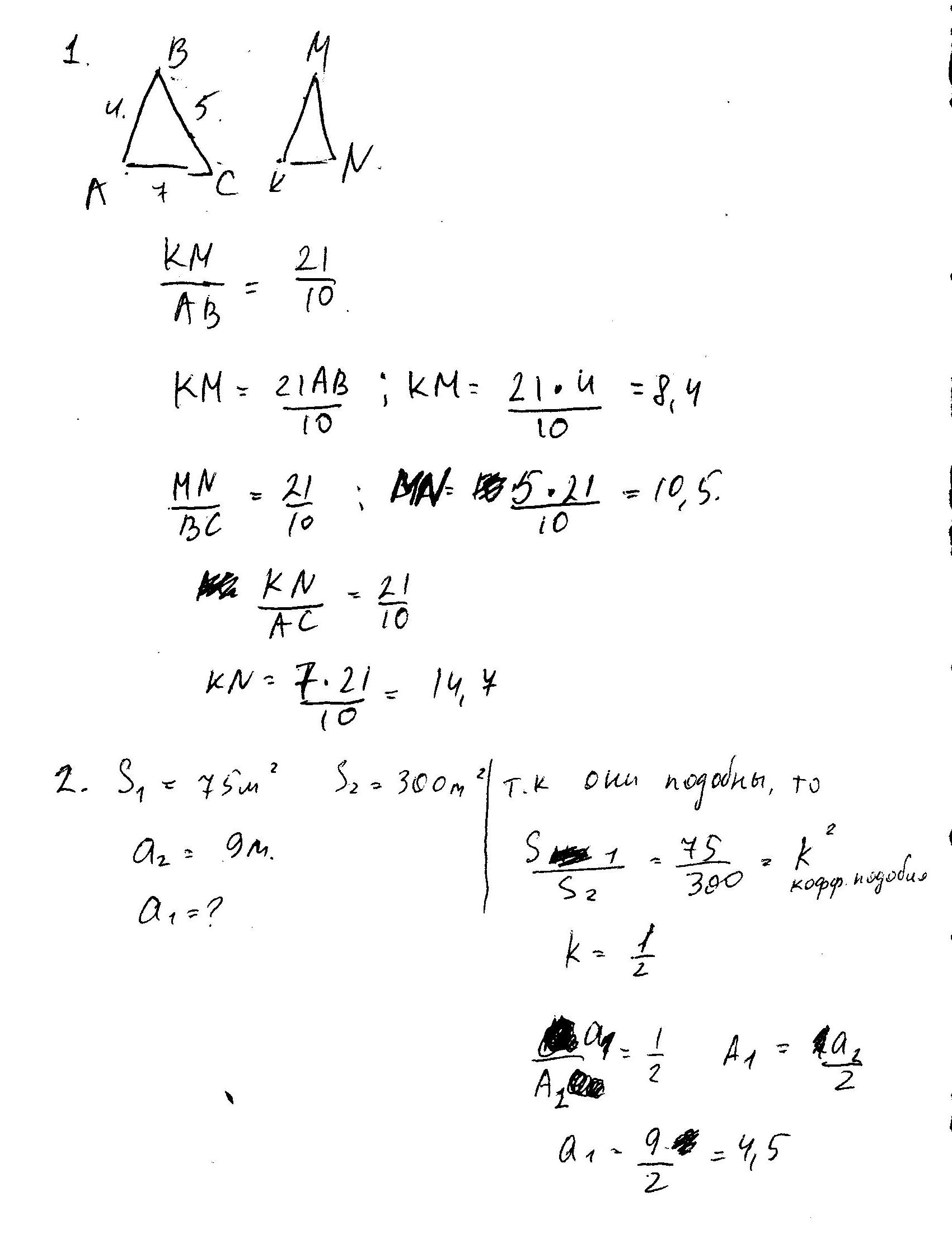
№1  В подобных треугольниках АВС и KMN стороны АВ и KM, BC и MN являются              сходственными. Найдите стороны треугольника KMN, если АВ = 4 см, ВС = 5 см,       СА = 7 см, (KM/AB) = 2,1

№2  Площади двух подобных треугольников равны 75 (м^2) и 300 (м^2). Одна из сторон        второго треугольника равна 9 м. Найдите сходственную ей сторону первого             треугольника.

№4  Диагонали трапеции ABCD с основаниями AB и CD пересекаются в точке О.              Найдите АВ, если ОВ = 4 см, OD = 10 см, DC = 25 см.

Приложения:

Ответы

Ответ дал: Kimikosan
0
Решение на картинках :)
Если будут вопросы,то в лс
Приложения:
Вас заинтересует