Ответы
Ответ дал:
0
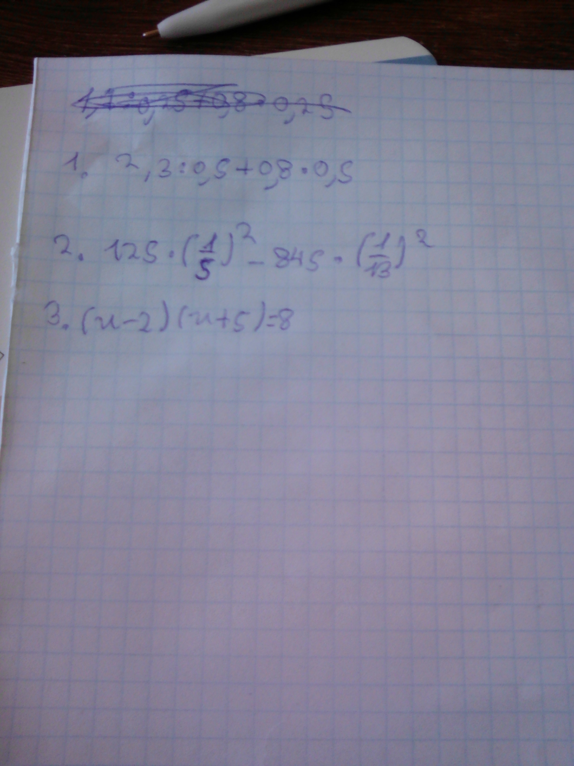
2.3÷0.5+0.8×0.5=4.6+0.4=5
125×(1/5)^2-845×(1/13)^2=125×1/25-845×1/169=5-5=0
(u-2)(u+5)=8
u^2-2u+5u-10-8=0
u^2+3u-18=0
D=3^2-4×18=-64
u1=(-3-8)/2
u1=-6
u2=(-3+8)/2
u2=5/2=2целых 1/2
125×(1/5)^2-845×(1/13)^2=125×1/25-845×1/169=5-5=0
(u-2)(u+5)=8
u^2-2u+5u-10-8=0
u^2+3u-18=0
D=3^2-4×18=-64
u1=(-3-8)/2
u1=-6
u2=(-3+8)/2
u2=5/2=2целых 1/2
Вас заинтересует
2 года назад
7 лет назад
7 лет назад
10 лет назад
10 лет назад