Ответы
Ответ дал:
0
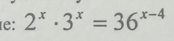
(2x3)^x=(6^2)^x-4
6^x=6^2 (x-4)
6^x=6^2x-8
x=2x-8
x=8
6^x=6^2 (x-4)
6^x=6^2x-8
x=2x-8
x=8
Приложения:

Вас заинтересует
2 года назад
7 лет назад
7 лет назад
9 лет назад
10 лет назад