• Предмет: Алгебра
  • Автор: НоВыЙ13
  • Вопрос задан 9 лет назад

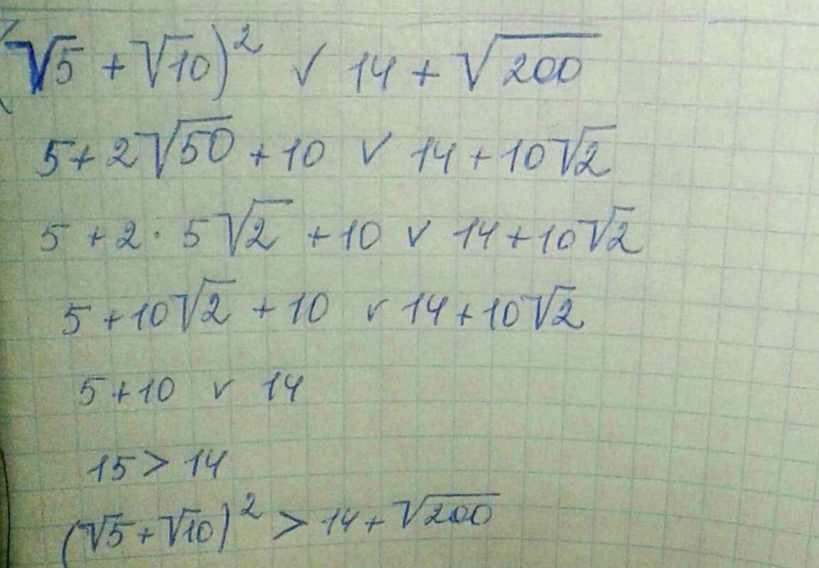
Сравнить числа:
( sqrt{5} + sqrt{10})^{2} и 14+ sqrt{200}

Ответы

Ответ дал: gksoso
0
(sqrt5+sqrt10)²= 5+2*sqrt5*sqrt10+10= 15+25sqrt2
14+sqrt200=14+ 10sqrt2
(sqrt5+sqrt10)²> 14+sqrt200
Ответ дал: koingrel
0
Решение во вложении :)
Приложения:
Вас заинтересует