• Предмет: Алгебра
  • Автор: Niki1nikol
  • Вопрос задан 9 лет назад

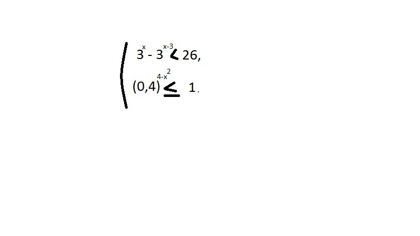
Решите пожалуйста неравенство , объясняя каждое действие
Заранее огромное спасибо

Приложения:

Ответа на этот вопрос пока нет. Попробуйте найти его через форму поиска.

Вас заинтересует