• Предмет: Математика
  • Автор: Milanka0509
  • Вопрос задан 9 лет назад

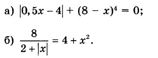
Пожалуйста помогите!!! Решить уравнения

Приложения:

Ответа на этот вопрос пока нет. Попробуйте найти его через форму поиска.

Вас заинтересует