Ответы
Ответ дал:
0
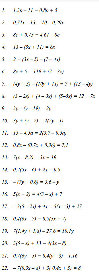
Вот вычисления не писала там все просто.
Приложения:

Вас заинтересует
2 года назад
2 года назад
7 лет назад
7 лет назад
9 лет назад
9 лет назад
10 лет назад