• Предмет: Физика
  • Автор: Baizard99
  • Вопрос задан 9 лет назад

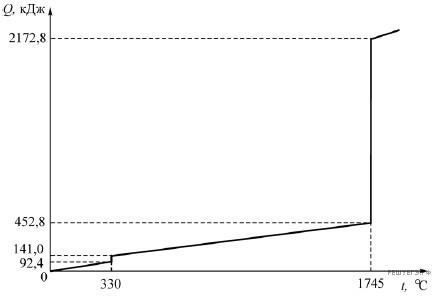
Какие процессы проходят на картинке

Приложения:

Ответы

Ответ дал: walesofficial
0
Нагревание твёрдого вещества, плавление твёрдого вещества, нагревание жидкого вещества, кипение жидкого вещества, нагревание газообразного вещества
Вас заинтересует