найти предел функции. найти произвольную от функции. вычислить опр интеграл. Помогите решить задачки, пожайлуста, с решением
Приложения:

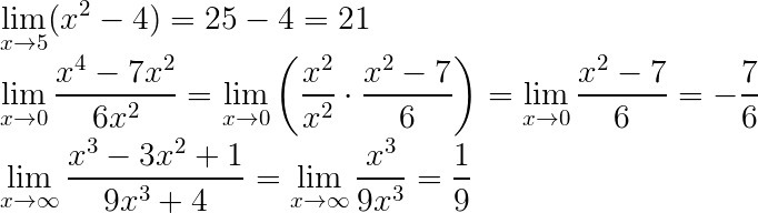
Ответы
Ответ дал:
0
Приложения:



Ответ дал:
0
а где эти ответы все?
Вас заинтересует
2 года назад
2 года назад
7 лет назад
7 лет назад
9 лет назад
10 лет назад
10 лет назад