• Предмет: Алгебра
  • Автор: ззннааййккаа
  • Вопрос задан 9 лет назад

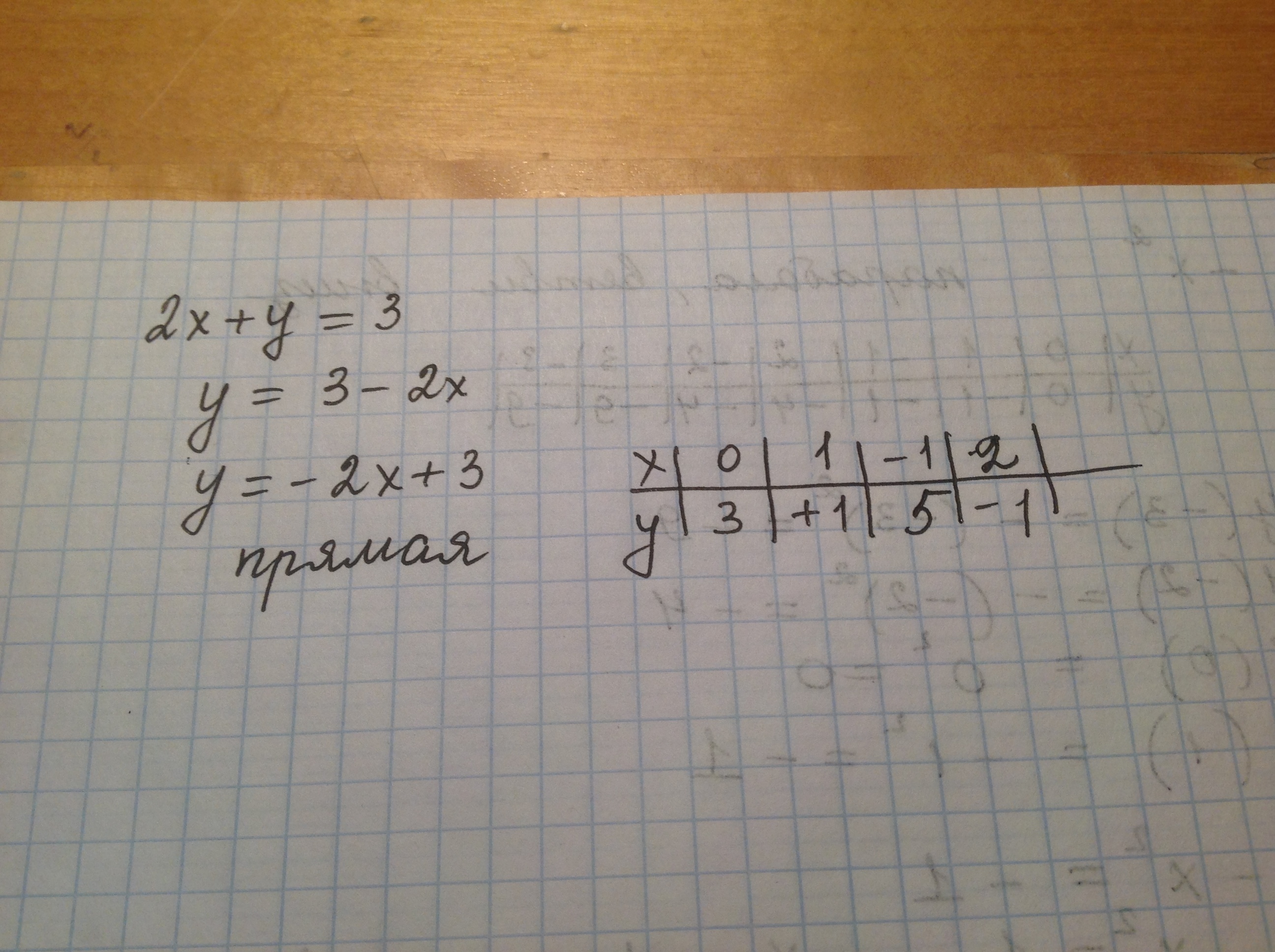
Постройте график уравнения 2x+y=3. Помогите пожалуйста;)

Ответы

Ответ дал: ВладимирБ
0
Решение смотри на фото
Приложения:
Вас заинтересует