• Предмет: Математика
  • Автор: denchiklazarko
  • Вопрос задан 9 лет назад

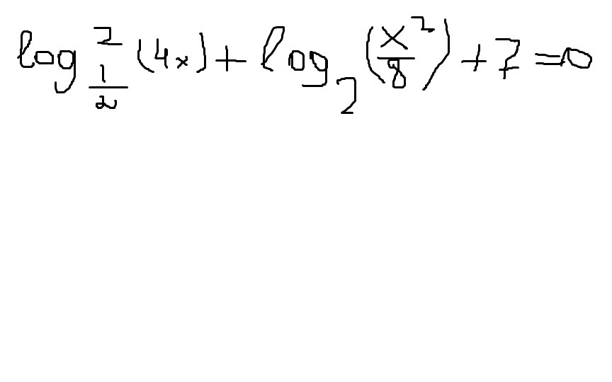
помогите решить плиз

Приложения:

Ответы

Ответ дал: ВладимирБ
0
Решение смотри на фото
Приложения:
Вас заинтересует