Ответы
Ответ дал:
0
Троолололлололололололалплплпл
Приложения:

Ответ дал:
0
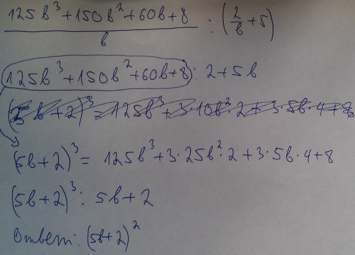
Числитель первой дроби можно собрать по формуле сокращенного умножения
Приложения:

Вас заинтересует
2 года назад
8 лет назад
10 лет назад